Foram encontradas 50 questões.
DE FORMAÇÃO DE OPINIÃO
Não, não vou falar da moça que estava no Canadá, cujo nome não digo para não me aliar ao tam-tam dos tambores da fl oresta. O que pode nos interessar é a frase emitida pela agência que cuida da sua imagem – sim, já tem agência – dizendo que sua agenciada vai se “posicionar como a formadora de opinião que tem potencial para ser.” E qual é o potencial necessário para ser formador de opinião? No passado, a carteirinha de formador de opinião só era dada em função da sabedoria. Ouviam-se os sábios. Não havendo sábios disponíveis, ouvia-se, emitida pelos mais velhos, a voz da experiência. Um certo saber era necessário, fosse ele específi co ou generalizado. Depois, deixou de ser. Nos anos em que trabalhei em publicidade, fi z várias campanhas imobiliárias com atores. Sempre os mais famosos, os que estavam nas telas da TV. Nenhum deles entendia coisa alguma do mercado de imóveis ou sequer pediu que lhe fosse mostrada e explicada a planta dos apartamentos que estava ajudando a vender. Ainda assim, sua presença era uma garantia de sucesso. Para formar a opinião alheia não é necessário sequer ter uma opinião própria relevante. No lugar da sabedoria entrou a imagem. A imagem não é a pessoa. A imagem não precisa sequer corresponder exatamente à pessoa. A imagem é um replicante, construído, às vezes com grande técnica, a partir da pessoa. Como é, então, que acreditamos nas recomendações feitas por alguém que, em termos de gente, é o equivalente a uma bolsa Vuitton vinda do Paraguai? O mecanismo é fascinante. Se queremos uma opinião jurídica, procuramos um advogado; se queremos uma opinião de saúde, procuramos um médico; e para opinar sobre o projeto de uma ponte fazemos recurso a um engenheiro. Mas na hora de comprar um apartamento ou um carro, dois projetos de peso que empenham parte relevante do nosso orçamento, deixamos que nossa opinião seja formada por uma imagem, um quase fantasma. E seguimos o gosto de fantasmas na compra do sabonete, na preferência por uma marca, na escolha do esmalte de unhas. Não sei se Lilia Cabral já fez publicidade de massa de rejunte para azulejos ou de válvula para descarga de banheiro, sei porém que seria um sucesso, embora todos estejam cientes de que não é ela quem entende de obra e de material de construção, é Griselda, e Griselda só existe na novela e no imaginário das pessoas. Então, o que forma opinião não é sequer a imagem. É a ação da imagem sobre o imaginário. No fi m das contas, tudo se passa na nossa própria cabeça. E o que os marqueteiros fazem é estudar nossa cabeça – não uma por uma, porque isso roubaria o mercado de trabalho dos psicanalistas, mas por amostragens – para criar imagens conformes a ela e aos desejos que a habitam, imagens que aceitaremos de braços abertos, implorando por suas opiniões. E a sabedoria, onde fi ca? Se não vier em roupa de gala, se não avançar no red carpet, se não for muito alardeada antes e durante por todas as mídias sociais e nem tanto, se não estiver no Canadá, coitada!, ninguém a quererá, ninguém dirá para ela ai se eu te pego! Bem pensa Carlinhos Brown, que, no discurso para o possível Oscar, dirá às crianças que não copiem seus ídolos, porque “o conhecimento não está nos ídolos. Ídolo cuida de sua carreira (...). Escutem seus pais!”. Marina Colasanti, (Estado de Minas, 09/02/2012)
“Como é, então, que acreditamos nas recomendações feitas por alguém que, em termos de gente, é o equivalente a uma bolsa Vuitton vinda do Paraguai?". O uso da 1ª pessoa do plural, nesse trecho, provoca o efeito de:Não, não vou falar da moça que estava no Canadá, cujo nome não digo para não me aliar ao tam-tam dos tambores da fl oresta. O que pode nos interessar é a frase emitida pela agência que cuida da sua imagem – sim, já tem agência – dizendo que sua agenciada vai se “posicionar como a formadora de opinião que tem potencial para ser.” E qual é o potencial necessário para ser formador de opinião? No passado, a carteirinha de formador de opinião só era dada em função da sabedoria. Ouviam-se os sábios. Não havendo sábios disponíveis, ouvia-se, emitida pelos mais velhos, a voz da experiência. Um certo saber era necessário, fosse ele específi co ou generalizado. Depois, deixou de ser. Nos anos em que trabalhei em publicidade, fi z várias campanhas imobiliárias com atores. Sempre os mais famosos, os que estavam nas telas da TV. Nenhum deles entendia coisa alguma do mercado de imóveis ou sequer pediu que lhe fosse mostrada e explicada a planta dos apartamentos que estava ajudando a vender. Ainda assim, sua presença era uma garantia de sucesso. Para formar a opinião alheia não é necessário sequer ter uma opinião própria relevante. No lugar da sabedoria entrou a imagem. A imagem não é a pessoa. A imagem não precisa sequer corresponder exatamente à pessoa. A imagem é um replicante, construído, às vezes com grande técnica, a partir da pessoa. Como é, então, que acreditamos nas recomendações feitas por alguém que, em termos de gente, é o equivalente a uma bolsa Vuitton vinda do Paraguai? O mecanismo é fascinante. Se queremos uma opinião jurídica, procuramos um advogado; se queremos uma opinião de saúde, procuramos um médico; e para opinar sobre o projeto de uma ponte fazemos recurso a um engenheiro. Mas na hora de comprar um apartamento ou um carro, dois projetos de peso que empenham parte relevante do nosso orçamento, deixamos que nossa opinião seja formada por uma imagem, um quase fantasma. E seguimos o gosto de fantasmas na compra do sabonete, na preferência por uma marca, na escolha do esmalte de unhas. Não sei se Lilia Cabral já fez publicidade de massa de rejunte para azulejos ou de válvula para descarga de banheiro, sei porém que seria um sucesso, embora todos estejam cientes de que não é ela quem entende de obra e de material de construção, é Griselda, e Griselda só existe na novela e no imaginário das pessoas. Então, o que forma opinião não é sequer a imagem. É a ação da imagem sobre o imaginário. No fi m das contas, tudo se passa na nossa própria cabeça. E o que os marqueteiros fazem é estudar nossa cabeça – não uma por uma, porque isso roubaria o mercado de trabalho dos psicanalistas, mas por amostragens – para criar imagens conformes a ela e aos desejos que a habitam, imagens que aceitaremos de braços abertos, implorando por suas opiniões. E a sabedoria, onde fi ca? Se não vier em roupa de gala, se não avançar no red carpet, se não for muito alardeada antes e durante por todas as mídias sociais e nem tanto, se não estiver no Canadá, coitada!, ninguém a quererá, ninguém dirá para ela ai se eu te pego! Bem pensa Carlinhos Brown, que, no discurso para o possível Oscar, dirá às crianças que não copiem seus ídolos, porque “o conhecimento não está nos ídolos. Ídolo cuida de sua carreira (...). Escutem seus pais!”. Marina Colasanti, (Estado de Minas, 09/02/2012)
Provas
Questão presente nas seguintes provas
DE FORMAÇÃO DE OPINIÃO
Não, não vou falar da moça que estava no Canadá, cujo nome não digo para não me aliar ao tam-tam dos tambores da fl oresta. O que pode nos interessar é a frase emitida pela agência que cuida da sua imagem – sim, já tem agência – dizendo que sua agenciada vai se “posicionar como a formadora de opinião que tem potencial para ser.” E qual é o potencial necessário para ser formador de opinião? No passado, a carteirinha de formador de opinião só era dada em função da sabedoria. Ouviam-se os sábios. Não havendo sábios disponíveis, ouvia-se, emitida pelos mais velhos, a voz da experiência. Um certo saber era necessário, fosse ele específi co ou generalizado. Depois, deixou de ser. Nos anos em que trabalhei em publicidade, fi z várias campanhas imobiliárias com atores. Sempre os mais famosos, os que estavam nas telas da TV. Nenhum deles entendia coisa alguma do mercado de imóveis ou sequer pediu que lhe fosse mostrada e explicada a planta dos apartamentos que estava ajudando a vender. Ainda assim, sua presença era uma garantia de sucesso. Para formar a opinião alheia não é necessário sequer ter uma opinião própria relevante. No lugar da sabedoria entrou a imagem. A imagem não é a pessoa. A imagem não precisa sequer corresponder exatamente à pessoa. A imagem é um replicante, construído, às vezes com grande técnica, a partir da pessoa. Como é, então, que acreditamos nas recomendações feitas por alguém que, em termos de gente, é o equivalente a uma bolsa Vuitton vinda do Paraguai? O mecanismo é fascinante. Se queremos uma opinião jurídica, procuramos um advogado; se queremos uma opinião de saúde, procuramos um médico; e para opinar sobre o projeto de uma ponte fazemos recurso a um engenheiro. Mas na hora de comprar um apartamento ou um carro, dois projetos de peso que empenham parte relevante do nosso orçamento, deixamos que nossa opinião seja formada por uma imagem, um quase fantasma. E seguimos o gosto de fantasmas na compra do sabonete, na preferência por uma marca, na escolha do esmalte de unhas. Não sei se Lilia Cabral já fez publicidade de massa de rejunte para azulejos ou de válvula para descarga de banheiro, sei porém que seria um sucesso, embora todos estejam cientes de que não é ela quem entende de obra e de material de construção, é Griselda, e Griselda só existe na novela e no imaginário das pessoas. Então, o que forma opinião não é sequer a imagem. É a ação da imagem sobre o imaginário. No fi m das contas, tudo se passa na nossa própria cabeça. E o que os marqueteiros fazem é estudar nossa cabeça – não uma por uma, porque isso roubaria o mercado de trabalho dos psicanalistas, mas por amostragens – para criar imagens conformes a ela e aos desejos que a habitam, imagens que aceitaremos de braços abertos, implorando por suas opiniões. E a sabedoria, onde fi ca? Se não vier em roupa de gala, se não avançar no red carpet, se não for muito alardeada antes e durante por todas as mídias sociais e nem tanto, se não estiver no Canadá, coitada!, ninguém a quererá, ninguém dirá para ela ai se eu te pego! Bem pensa Carlinhos Brown, que, no discurso para o possível Oscar, dirá às crianças que não copiem seus ídolos, porque “o conhecimento não está nos ídolos. Ídolo cuida de sua carreira (...). Escutem seus pais!”. Marina Colasanti, (Estado de Minas, 09/02/2012)
No texto, parte-se do pressuposto de que:Não, não vou falar da moça que estava no Canadá, cujo nome não digo para não me aliar ao tam-tam dos tambores da fl oresta. O que pode nos interessar é a frase emitida pela agência que cuida da sua imagem – sim, já tem agência – dizendo que sua agenciada vai se “posicionar como a formadora de opinião que tem potencial para ser.” E qual é o potencial necessário para ser formador de opinião? No passado, a carteirinha de formador de opinião só era dada em função da sabedoria. Ouviam-se os sábios. Não havendo sábios disponíveis, ouvia-se, emitida pelos mais velhos, a voz da experiência. Um certo saber era necessário, fosse ele específi co ou generalizado. Depois, deixou de ser. Nos anos em que trabalhei em publicidade, fi z várias campanhas imobiliárias com atores. Sempre os mais famosos, os que estavam nas telas da TV. Nenhum deles entendia coisa alguma do mercado de imóveis ou sequer pediu que lhe fosse mostrada e explicada a planta dos apartamentos que estava ajudando a vender. Ainda assim, sua presença era uma garantia de sucesso. Para formar a opinião alheia não é necessário sequer ter uma opinião própria relevante. No lugar da sabedoria entrou a imagem. A imagem não é a pessoa. A imagem não precisa sequer corresponder exatamente à pessoa. A imagem é um replicante, construído, às vezes com grande técnica, a partir da pessoa. Como é, então, que acreditamos nas recomendações feitas por alguém que, em termos de gente, é o equivalente a uma bolsa Vuitton vinda do Paraguai? O mecanismo é fascinante. Se queremos uma opinião jurídica, procuramos um advogado; se queremos uma opinião de saúde, procuramos um médico; e para opinar sobre o projeto de uma ponte fazemos recurso a um engenheiro. Mas na hora de comprar um apartamento ou um carro, dois projetos de peso que empenham parte relevante do nosso orçamento, deixamos que nossa opinião seja formada por uma imagem, um quase fantasma. E seguimos o gosto de fantasmas na compra do sabonete, na preferência por uma marca, na escolha do esmalte de unhas. Não sei se Lilia Cabral já fez publicidade de massa de rejunte para azulejos ou de válvula para descarga de banheiro, sei porém que seria um sucesso, embora todos estejam cientes de que não é ela quem entende de obra e de material de construção, é Griselda, e Griselda só existe na novela e no imaginário das pessoas. Então, o que forma opinião não é sequer a imagem. É a ação da imagem sobre o imaginário. No fi m das contas, tudo se passa na nossa própria cabeça. E o que os marqueteiros fazem é estudar nossa cabeça – não uma por uma, porque isso roubaria o mercado de trabalho dos psicanalistas, mas por amostragens – para criar imagens conformes a ela e aos desejos que a habitam, imagens que aceitaremos de braços abertos, implorando por suas opiniões. E a sabedoria, onde fi ca? Se não vier em roupa de gala, se não avançar no red carpet, se não for muito alardeada antes e durante por todas as mídias sociais e nem tanto, se não estiver no Canadá, coitada!, ninguém a quererá, ninguém dirá para ela ai se eu te pego! Bem pensa Carlinhos Brown, que, no discurso para o possível Oscar, dirá às crianças que não copiem seus ídolos, porque “o conhecimento não está nos ídolos. Ídolo cuida de sua carreira (...). Escutem seus pais!”. Marina Colasanti, (Estado de Minas, 09/02/2012)
Provas
Questão presente nas seguintes provas
Observe, abaixo, a figura que mostra um recurso existente no browser Internet Explorer 9 BR.

Essa figura é conhecida como barra de:

Essa figura é conhecida como barra de:
Provas
Questão presente nas seguintes provas
Observe a planilha abaixo, no Calc do pacote BrOffice.org 3.0.

Nessa planilha foi inserida uma expressão em G4 que mostra uma mensagem, baseada no quadro a seguir.

Para finalizar, a expressão inserida na célula G4 foi copiada para G5, G6 e G7. Como consequência, em G7 foi inserida a seguinte expressão

Nessa planilha foi inserida uma expressão em G4 que mostra uma mensagem, baseada no quadro a seguir.

Para finalizar, a expressão inserida na célula G4 foi copiada para G5, G6 e G7. Como consequência, em G7 foi inserida a seguinte expressão
Provas
Questão presente nas seguintes provas
- Sistemas OperacionaisWindowsFuncionalidades do WindowsGerenciamento de Arquivos e PastasWindows Explorer
Observe a figura abaixo, que ilustra um modo de exibição, no Windows Explorer, de arquivos armazenados na pasta
no disco C:, em um microcomputador com sistema operacional Windows 7 Professional.

Nesse caso, o modo de exibição é conhecido como:
no disco C:, em um microcomputador com sistema operacional Windows 7 Professional.
Nesse caso, o modo de exibição é conhecido como:
Provas
Questão presente nas seguintes provas
Atualmente, impressoras são conectadas a um microcomputador por meio de interfaces USB. Por padrão, o conector utilizado é:
Provas
Questão presente nas seguintes provas
Observe as figuras I e II que ilustram, respectivamente, a Faixa de Opções e um dos grupos lógicos de comandos no
Word2010Br.

O grupo lógico da figura II é mostrado na tela quando se aciona a seguinte guia na Faixa de Opções:

O grupo lógico da figura II é mostrado na tela quando se aciona a seguinte guia na Faixa de Opções:
Provas
Questão presente nas seguintes provas
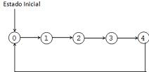
Deseja-se construir um circuito sequencial síncrono, a partir de fiip-fiops JK master-slave, que gerem a sequência de estados lógicos indicados abaixo. Um pulso de “reset" é gerado automaticamente, quando o circuito é alimentado, a fim de assegurar o estado inicial especificado. As mudanças de estado devem ocorrer devido a pulsos aplicados às entradas de “clock" (ck) dos fiip-fiops. Com base nisso, a equação de controle do fiip-fiop mais significativo é.


Provas
Questão presente nas seguintes provas
Observe o diagrama abaixo:

Sabendo que A(A 1A0) e B(B1B0), são palavras binárias de dois bits, a equação lógica que identifica a condição A > B é dada por:

Sabendo que A(A 1A0) e B(B1B0), são palavras binárias de dois bits, a equação lógica que identifica a condição A > B é dada por:
Provas
Questão presente nas seguintes provas
Considerando ideal o diodo D, no circuito limitador série abaixo:

A tensão de pico na saída será:

A tensão de pico na saída será:
Provas
Questão presente nas seguintes provas
Cadernos
Caderno Container