Foram encontradas 50 questões.
Nas reações químicas ocorrem transformações de substâncias com propriedades iniciais (reagentes) em outras com propriedades diferentes (produtos). As reações químicas ocorrem em nosso corpo o tempo todo. A partir dos nutrientes ingeridos são produzidas diversas substâncias através de reações químicas (metabolismo), o cozimento dos alimentos, queima de combustíveis, etc. As reações orgânicas, por exemplo, são muito importantes na indústria química, tendo um papel fundamental para o desenvolvimento da sociedade moderna. A reação do gás butano com o gás oxigênio, mostrado abaixo, é um exemplo de reação orgânica:

Considerando uma reação completa do gás butano com o gás oxigênio, as substâncias X e Y formadas serão:
Provas
Os isômeros geométricos cis e trans têm propriedades físicas (densidade, ponto de fusão e ebulição) e químicas (reatividade, polaridade) diferentes, ocorre quando temos dois compostos com mesma fórmula molecular, mas que se diferenciam pelo arranjo espacial de seus átomos, como mostrados no composto abaixo:

De acordo com a IUPAC (União Internacional de Química Pura e Aplicada) a nomenclatura para os compostos X e Y são, respectivamente:
Provas
O ambiente laboratorial tem como finalidade a realização de experimentos, pesquisas e processos em geral. Contudo, não é novidade que as substâncias utilizadas oferecem risco a quem as manuseia já que se tratam de ácidos fortes, soluções superaquecidas, gases etc. São exemplos de recomendações para boas práticas laboratoriais:
Provas
Os laboratórios de Química necessitam de diversas vidrarias, que são úteis para o manuseio das substâncias. Esses materiais são feitos de vidro cristal ou temperado e podem variar de tamanho, capacidade suportada e função. Por isso, cada vidraria recebe uma aplicação específica. De acordo com os conhecimentos adquiridos sobre vidrarias de laboratório, pode-se afirmar corretamente que o Balão volumétrico e a Bureta, respectivamente, são utilizados:
Provas
Os equipamentos utilizados em laboratório de Química, além de serem constituídos de diferentes materiais possuem aplicações específicas, podendo funcionar sozinhos ou em conjunto com outros materiais. Com base nos conhecimentos sobre equipamentos de laboratório, a capela é utilizada:
Provas
Os compostos orgânicos diferenciam-se dos demais através de certas propriedades, como: solubilidade, temperatura de fusão e ebulição, além de combustibilidade.

Podemos afirmar CORRETAMENTE a respeito das estruturas acima que:
Provas
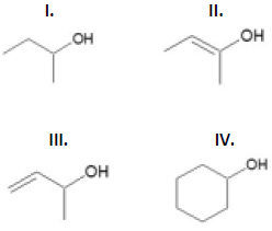
Sobre o assunto de isomeria, podemos citar a isomeria plana. Esta, depende da localização dos átomos na molécula e que pode ser explicada por fórmulas estruturais planas.

Baseado nas estruturas acima, podemos AFIRMAR que são isômeros:
Provas
No desenvolvimento de atividades laboratoriais, é importante utilizar os equipamentos de proteção para se evitar ou minimizar os riscos de acidente de trabalho. São exemplos de equipamentos de proteção individual (EPI) e equipamentos de proteção coletivo (EPC), respectivamente:
Provas
Como as reações envolvem a quebra e a formação de ligações, as respectivas velocidades dependem da natureza dos reagentes em si. No entanto, existem quatro fatores que permitem a variação das velocidades nas quais reações específicas ocorrem. Esses fatores são:
Provas
No equilíbrio, a velocidade na qual os produtos são formados a partir dos reagentes é igual à velocidade na qual os reagentes são formados a partir dos produtos. As reações podem atingir o equilíbrio em diferentes condições de concentração. Considere a reação abaixo como uma situação de equilíbrio e em seguida veja os gráficos com as possibilidades de concentrações.

Baseado nessas informações, podemos afirmar CORRETAMENTE que quando atingido o equilíbrio:
Provas
Caderno Container