Foram encontradas 900 questões.
As operações unitárias são pertinentes aos processos separativos que dependem apenas das diferenças das propriedades físicas e não do comportamento químico. Estes processos ou se fundamentam sobre uma diferença na composição das fases em equilíbrio ou sobre uma diferença na taxa de transferência de massa dos constituintes da mistura. A respeito dos processos de separação, informe se as afirmativas abaixo são verdadeiras (V) ou falsas (F) e, em seguida, assinale a alternativa que apresenta a sequência correta.
( ) No processo de destilação, o efeito final é a diminuição da concentração do componente mais volátil no vapor e do componente menos volátil no líquido.
( ) No equipamento de absorção, o absorvente líquido está acima do seu ponto de bolha e a fase gasosa está abaixo do seu ponto de orvalho.
( ) Para extração líquido-líquido, emprega-se não só equipamento em estágios, mas também equipamento de contato contínuo.
( ) A diálise é um processo de separação no qual se transfere massa através de uma membrana graças à força motriz proveniente de um gradiente de concentração.
Provas
Dado o diagrama Ladder abaixo, é correto afirmar que a saída Q1 será acionada quando
(Considere todas as entradas externas no CLP acionadas por botoeiras Normalmente Abertas (NA).)

Provas
O objetivo principal da instalação do implante é alcançar e manter uma conexão osso-implante estável, o que acontece por meio da osseointegração. Analise as afirmativas a seguir.
I. A estabilidade primária, conseguida no momento da colocação cirúrgica, depende da geometria do implante, da qualidade e quantidade de osso disponível.
II. Danos aos tecidos ósseos e debris criados pela osteotomia preparatória devem ser limpos pelos osteoblastos para a formação óssea normal.
III. Se o osso for sobreaquecido ou esmagado durante a preparação, ele se tornará necrótico e pode levar a formação de cicatriz não mineralizada ou ao sequestro ósseo.
Estão corretas as afirmativas
Provas
Dentre as características que credenciam os metais como os materiais mais utilizados no mundo, a capacidade de alterar as propriedades mecânicas em função do tempo, temperatura e deformação é considerada como uma das mais importantes. Indique a alternativa que apresenta apenas mecanismos de aumento da resistência mecânica em metais.
Provas
Provas
Lesões ulceradas podem ser definidas como o rompimento do epitélio com exposição do tecido conjuntivo, e consequente presença de solução de continuidade e possível pseudomembrana associada. Em pacientes de UTI, a ocorrência de úlceras traumáticas por pressão constante do tubo endotraqueal pode levar a complicações como
Provas
Centrifugação é o processo de uso da força centrífuga para separar a porção mais leve de uma solução, mistura ou suspensão das porções mais pesadas. Diversos são os usos da centrífuga no laboratório, como, por exemplo, separar elementos celulares do sangue da parte líquida (soro ou plasma). Normalmente, o tempo necessário para sedimentar as partículas depende dos seguintes fatores, exceto:
Provas
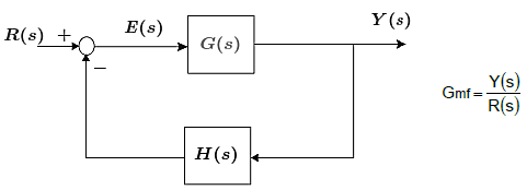
O sistema representado pela figura abaixo é um controle em malha fechada.

Qual é a função de transferência deste sistema?
Provas
Dentre os componentes envoltórios do filme radiográfico, é verificada fina lâmina de chumbo com padrão em escamas. Se o filme for colocado de forma invertida na boca do indivíduo, a imagem resultante ficará mais clara que o esperado, e com a presença do padrão em escamas. Qual é a função da lâmina de chumbo?
Provas
Provas
Caderno Container