Foram encontradas 60 questões.
TEXTO 2
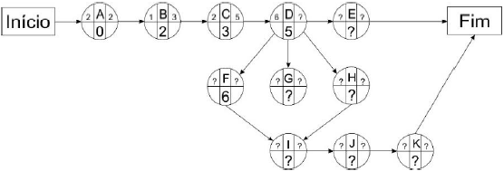
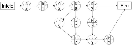
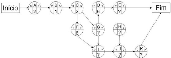
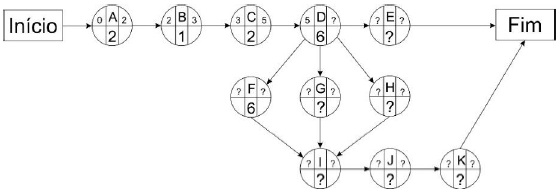
O setor de Engenharia da aeronáutica está providenciando a licitação de reforma em uma das suas instalações. Para cumprimento do prazo, a equipe de fiscalização está elaborando o planejamento através do Critical Path Method (CPM) e do Program Evaluation and Review Technique (PERT), e para isto vai verificar os caminhos críticos de forma a evitar atrasos durante a obra.
TABELA 2
| Atividade | Descrição | Atividades precedentes | Duração da atividade (semanas) |
| A | Demolição | - | 2 |
| B | Fundação | A | 1 |
| C | Estrutura | B | 2 |
| D | Paredes | C | 6 |
| E | Telhado | D | 4 |
| F | Acabamento interno | D | 6 |
| G | Instalação hidráulica | D | 8 |
| H | Instalação elétrica | D | 7 |
| I | Pisos | F, G, H | 4 |
| J | Divisórias | I | 5 |
| K | Pintura | J | 10 |
Fonte: Banca examinadora (2022).

De acordo com a Tabela 2, e considerando que ocorreu um atraso na atividade F (Acabamento interno) de uma semana, e que as atividades podem ser executadas em paralelo, o tempo do caminho crítico de projeto, em semanas, é:
Provas
TEXTO 2
O setor de Engenharia da aeronáutica está providenciando a licitação de reforma em uma das suas instalações. Para cumprimento do prazo, a equipe de fiscalização está elaborando o planejamento através do Critical Path Method (CPM) e do Program Evaluation and Review Technique (PERT), e para isto vai verificar os caminhos críticos de forma a evitar atrasos durante a obra.
TABELA 2
| Atividade | Descrição | Atividades precedentes | Duração da atividade (semanas) |
| A | Demolição | - | 2 |
| B | Fundação | A | 1 |
| C | Estrutura | B | 2 |
| D | Paredes | C | 6 |
| E | Telhado | D | 4 |
| F | Acabamento interno | D | 6 |
| G | Instalação hidráulica | D | 8 |
| H | Instalação elétrica | D | 7 |
| I | Pisos | F, G, H | 4 |
| J | Divisórias | I | 5 |
| K | Pintura | J | 10 |
Fonte: Banca examinadora (2022).

De acordo com a Tabela 2 e as convenções gráficas, e com base nas atividades a serem executadas e seus precedentes, bem como no tempo estimado em semanas, o gráfico que melhor representa esta rede PERT é
Provas
A pintura é utilizada na construção civil com o objetivo de proporcionar proteção e acabamento ao substrato. Além disso, oferece melhor higienização dos ambientes, controle de luminosidade e sinalização.
Depois de aplicada, estas podem apresentar alguns defeitos ou patologias. Associe as colunas, relacionando os tipos de patologias com as suas respectivas definições.
Tipos de patologias
(1) Corrosão
(2) Degradação
(3) Eflorescência
(4) Empolamento
Definições
( ) Formação de bolhas na superfície do acabamento provenientes de líquidos ou gases.
( ) Processo de alteração das características originais.
( ) Depósito de coloração esbranquiçada de sais minerais, proveniente do substrato.
( ) Fenômeno resultante da exposição do substrato aos agentes atmosféricos.
A sequência correta dessa associação é:
Provas
Comumente utilizado em fachadas, coberturas, pisos, divisórias, portas, janelas, escadas e paredes, além de ser usado como elemento de segurança em guarda-corpos, o vidro proporciona muita interação entre ambientes e garante amplitude, leveza e visibilidade.
Existem no mercado da construção civil diferentes tipos de vidros. Marque a definição incorreta.
Provas
Na Construção Civil, o aço é amplamente empregado pela sua leveza, flexibilidade e durabilidade, proporcionando um ótimo aproveitamento dos materiais. É, também, uma opção econômica que reduz o impacto ambiental das obras.
Uma das características mais importantes para classificação de um aço, obtida em ensaios de tração é a resistência característica de escoamento. Em relação a esta resistência pode-se afirmar que
Provas
Considere uma obra contratada inicialmente em R$ 554.300,00, em que ocorreu um serviço adicional de R$45.000,00, já aprovado pelas partes. Sendo o Budget Difference Income (BDI) da empresa contratada igual a 27%; e o desconto que a mesma ofereceu na licitação de 18%.
O custo final para a contratante deste novo serviço, em R$, é
Provas
Durante a execução de uma fundação ocorreu um imprevisto na sondagem, sendo necessário aplicar um aditivo para armação de um bloco com bitola de 12,5 mm. De acordo com a Tabela de referência adaptada a partir do Sistema Nacional de Pesquisa de Custos e Índices da Construção Civil (SINAPI) abaixo, tem-se a seguinte composição de armação de um bloco, utilizando aço de 12,5 mm:
| COMPOSIÇÃO (KG) - ARMAÇÃO BLOCO AÇO CA50 - 12,5 mm | ||
| DESCRIÇÃO | UNIDADES | COEFICIENTES |
| AJUDANTE DE ARMADOR COM ENCARGOS COMPLEMENTARES | H | 0,020 |
| ARMADOR COM ENCARGOS COMPLEMENTARES | H | 0,070 |
| CORTE E DOBRA DE AÇO CA-50, DIÂMETRO DE 12,5 MM, UTILIZADO EM ESTRUTURAS DIVERSAS, EXCETO LAJES. AF_12/2015 (*composição auxiliar) | KG | 1,000 |
| ESPACADOR / DISTANCIADOR CIRCULAR COM ENTRADA LATERAL, EM PLASTICO, PARA VERGALHAO *4,2 A 12,5* MM, COBRIMENTO 20 MM | UN | 0,300 |
| ARAME RECOZIDO 16 BWG, D = 1,65 MM (0,016 KG/M) OU 18 BWG, D = 1,25 MM (0,01 KG/M) | KG | 0,025 |
| *COMPOSIÇÃO AUXILIAR (KG) - CORTE E DOBRA DE AÇO CA-50, 12,5 mm | ||
| DESCRIÇÃO | UNIDADES | COEFICIENTES |
| AJUDANTE DE ARMADOR COM ENCARGOS COMPLEMENTARES | H | 0,001 |
| ARMADOR COM ENCARGOS COMPLEMENTARES | H | 0,005 |
| ACO CA-50, 12,5 MM OU 16,0 MM, VERGALHAO | KG | 1,100 |
| ITEM | CUSTOS UNITÁRIOS (R$) |
| AJUDANTE DE ARMADOR COM ENCARGOS | 15,00 |
| ARMADOR COM ENCARGOS | 20,00 |
| ESPACADOR / DISTANCIADOR CIRCULAR COM ENTRADA LATERAL, EM PLASTICO, PARA VERGALHAO *4,2 A 12,5* MM, COBRIMENTO 20 MM | 0,20 |
| ARAME RECOZIDO 16 BWG, D = 1,65 MM (0,016 KG/M) OU 18 BWG, D = 1,25 MM (0,01 KG/M) | 30,00 |
| ACO CA-50, 12,5 MM OU 16,0 MM, VERGALHAO | 8,00 |
Fonte: Adaptado de Tabelas do SINAPI, pela banca examinadora (2022).
Considerando que será necessário um acréscimo de 2.000 kg de aço, e de acordo com a tabela adaptada do SINAPI acima, e desconsiderando o Budget Difference Income( BDI) e desconto pela empresa, a estimativa mais próxima para este aditivo, em R$, será
Provas
TEXTO 1
Em dinâmica dos fluidos, a equação de Bernoulli, atribuída a Daniel Bernoulli, descreve o comportamento de um fluido que se move ao longo de um tubo ou conduto. Esta é muito importante pois relaciona as variações de pressão com àquelas de velocidade e de elevação ao longo de uma linha corrente, particularizando a aplicação do princípio da conservação da energia a fluidos. Eis a equação citada:
!$ \dfrac {v^2} {2} \, + \, g. \, h \, + \, \dfrac {p} {\rho} \, = \, constante !$
De acordo com a Figura 5, abaixo, que apresenta um duto que transporta água em regime permanente forçado, reduzindo-se o diâmetro da seção circular do ponto A para o ponto B, sob um regime que respeita a conservação de energia da equação de Bernoulli, já apresentada no Texto 1.
FIGURA 5

Fonte: Banca examinadora (2022).
Considere:
- diâmetro da seção no ponto A igual a 0,10 m;
- diâmetro da seção no ponto B igual a 0,05 m;
- pressão em no ponto A igual a 100,00 kPa;
- pressão em no ponto B igual a 72,50 kPa;
- peso específico da água igual a 10,00 kN/m3;
- aceleração da gravidade igual a 10,00 m/s2.
Despreze as perdas de carga ao longo do trecho.
Com base nestes dados, a velocidade da água nos Pontos A e B, em m/s, são respectivamente
Provas
TEXTO 1
Em dinâmica dos fluidos, a equação de Bernoulli, atribuída a Daniel Bernoulli, descreve o comportamento de um fluido que se move ao longo de um tubo ou conduto. Esta é muito importante pois relaciona as variações de pressão com àquelas de velocidade e de elevação ao longo de uma linha corrente, particularizando a aplicação do princípio da conservação da energia a fluidos. Eis a equação citada:
!$ \dfrac {v^2} {2} \, + \, g. \, h \, + \, \dfrac {p} {\rho} \, = \, constante !$
As seguintes convenções precisam ser satisfeitas para que a equação do Texto 1 se aplique, exceto:
Provas
O concreto fresco tem como principais propriedades a consistência, a trabalhabilidade e a homogeneidade. Além destas, o adensamento e a cura interferem nas características finais do concreto.
Para avaliar as características do concreto fresco um dos testes adotados é o “slump test”, que consiste na medição do(a)
Provas
Caderno Container