Foram encontradas 30 questões.
Um usuário do Word 2007 em sua configuração padrão deseja remover a formatação aplicada a um parágrafo do seu texto. Para isso, ele deve selecionar o parágrafo e, em seguida, clicar em
Provas
A figura abaixo apresenta mensagem editada no Outlook 2007 em sua configuração padrão e está pronta para ser enviada.

Considerando-se que nenhum endereço de e-mail está repetido, que todos os endereços são válidos e que não existe nenhum problema de comunicação que afete o envio ou o recebimento do e-mail, conclui-se que o(a)
Provas
O e-mail é um recurso que permite aos usuários receber e enviar mensagens pela Internet. Existem diversos programas que permitem o envio e recebimento de mensagens eletrônicas através de computadores conectados à Internet, como o
Provas
Dentre os elementos que podem estar contidos em uma página de Internet, aquele que tem a função de permitir o envio de dados para um servidor é o(a)
Provas
No Microsoft Excel, o gráfico que é indicado para ser usado na comparação de valores em diversas categorias é o de
Provas
No Microsoft Word, as palavras grifadas em vermelho indicam erros de
Provas
No sistema operacional Windows, a principal função do programa Windows Explorer é
Provas

Utilizando o programa em ladder apresentado na figura acima, qual o seu correspondente que executa a mesma função com apenas uma RUNG?
Provas

A lógica de selo é bastante utilizada na indústria para o acionamento de equipamentos. Analise o circuito elétrico apresentado na figura acima. O seu correspondente, em ladder, é
Provas
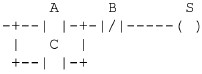
Lista de instruções
LD A
OR C
ANDN B
ST S
A partir da análise do programa em lista de instruções apresentado acima, tem-se o seu correspondente, em ladder, na opção
Provas
Caderno Container