Foram encontradas 175 questões.
- Química OrgânicaHidrocarbonetos
- Química OrgânicaReações OrgânicasReações Orgânicas: Substituição, Adição e Eliminação
A síntese orgânica consiste na construção de moléculas orgânicas por meio de processos químicos. Considere a rota sintética a seguir:

A nomenclatura do composto predominante nesta síntese é
Provas
- Química OrgânicaFunções Oxigenadas: Álcool, Fenol e Enol
- Química OrgânicaFunções Oxigenadas: Cetona, Aldeído, Éter, Éster, Ácido Carboxílico etc.
- Química OrgânicaHidrocarbonetos
- Química OrgânicaReações OrgânicasReações Orgânicas: Substituição, Adição e Eliminação
- Química OrgânicaReações OrgânicasReações Orgânicas: Oxidação, Redução e Polimerização
Um álcool X por desidratação formou um alceno que, por reação com ozônio seguida da reação com zinco em água, formou a propanona e o propanal.
A nomenclatura oficial do álcool X usado como substrato é
Provas
As reações de substituição nucleofílicas em haletos de alquila podem ocorrer por meio de dois mecanismos chamados de SN1 e SN2. O caminho da reação depende de fatores como o tipo de substrato, a nucleofilicidade do reagente e o solvente da reação.
Considerando somente o efeito do solvente, aquele que predominantemente favorece o mecanismo tipo SN1 na reação de haletos de alquila secundário é
Provas
Um laboratorista, ao arrumar um almoxarifado, encontrou uma mistura que continha todos os alcoóis de fórmula molecular C5H12O.
A porcentagem de alcoóis presentes na mistura que apresenta uma cadeia com atividade ótica é de
Provas
- Química OrgânicaFunções Nitrogenadas: Amina, Amida, Nitrila, Isonitrila e Nitro Composto
- Química OrgânicaFunções Oxigenadas: Cetona, Aldeído, Éter, Éster, Ácido Carboxílico etc.
- Química OrgânicaGlicídios, Lipídios, Aminoácidos e Proteínas.
Os aminoácidos são compostos que apresentam caráter anfótero devido à presença dos grupamentos carboxila e amino, sendo a sua estrutura suscetível a mudanças devido a variações de pH em solução aquosa.
Um α-aminoácido pode ser representado genericamente por
R = radical
Considerando um aminoácido que não possua cadeia lateral ionizável em solução aquosa ácida, a forma estrutural predominante é
Provas
- Química OrgânicaFunções Oxigenadas: Cetona, Aldeído, Éter, Éster, Ácido Carboxílico etc.
- Sistemas de EquilíbrioSistemas Homogêneos: Equilíbrio Químico na Água
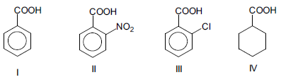
O pKa é uma medida de quanto um ácido está ionizado. Considere as estruturas dos ácidos carboxílicos a seguir:

A ordem crescente de pKa dos ácidos apresentados é
Provas
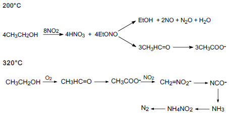
Com foco no desenvolvimento de tecnologias voltadas para a solução de problemas ambientais gerados pela industrialização, muitos estudos de catalisadores e rotas reacionais são feitos a fim de reduzir ao máximo a emissão de gases poluentes.
O esquema a seguir apresenta um importante mecanismo de reação que visa à utilização de etanol para a oxirredução de gases do tipo NOx:

Provas
Atualmente, as análises de íons importantes no sistema fisiológico humano são realizadas por métodos de Cromatografia de Troca Iônica.
Troca iônica é a permuta de íons entre uma solução contendo os íons a serem analisados e um corpo sólido insolúvel, chamado de fase estacionária. Esta fase é acondicionada em tubos de vidro ou aço inox (colunas), por onde é passada a solução contendo os íons a separar.
Considerando uma análise de plasma sanguíneo visando a separação e quantificação dos íons Ca2+ , K1+, Na1+ e Mg2+ por cromatografia líquida aquosa tendo como fase estacionária uma coluna de resina de troca catiônica, indique a ordem de eluição dos respectivos íons.
Provas
A nitroglicerina é um líquido oleoso de cor amarelo-pálido, muito sensível ao impacto. É um dos explosivos mais fortes que existem. Sua decomposição ocorre conforme mostra a equação a seguir:

Sobre os possíveis motivos que justificam seu alto poder explosivo, foram feitas as seguintes afirmações:
I. A energia de ligação entre os átomos de Nitrogênio, assim como entre C e O e entre H e O, são muito fortes.
II. Os produtos gasosos aumentam a pressão, consequentemente, seu poder destrutivo.
III. O aumento do grau de desordem do sistema torna a equação altamente favorável, em acordo com a segunda lei da termodinâmica.
IV. Processos endotérmicos liberam grande quantidade de energia.
Provas
- FundamentosLigações Químicas
- FundamentosPropriedades das Substâncias
- Química InorgânicaGeometria Molecular, Polaridade e Forças Intermoleculares
- Química InorgânicaSoluções e Substâncias InorgânicasSubstâncias Inorgânicas: dissociação iônica e ionização, conceitos de ácido-base
- Química InorgânicaSoluções e Substâncias InorgânicasSoluções: características, tipos de concentração, diluição, mistura, titulação e soluções coloidais
A iodometria é um método analítico indireto de titulação de iodo. Dentre os reagentes envolvidos, temos o triiodeto, que se forma segundo a reação em equilíbrio representada a seguir:

Ao analisar a equação dada e as propriedades químicas das espécies participantes, é correto afirmar que
Provas
Caderno Container