Foram encontradas 50 questões.
A figura abaixo apresenta o circuito de um inversor de frequência utilizado para controle de motores elétricos.

A partir da análise da figura, assinale a afirmativa INCORRETA.
Provas
Sobre manutenção de máquinas e equipamentos, leia o texto.
Segundo a Norma NBR 5462 (1994), manutenção corretiva é “a manutenção efetuada após a ocorrência de uma pane, destinada a recolocar um item em condições de executar uma função requerida”. Enquanto a manutenção preventiva é “manutenção efetuada em intervalos predeterminados, ou de acordo com critérios prescritivos, destinada a reduzir a probabilidade de falha ou a degradação do funcionamento de um item”.
Considera-se ainda que a manutenção preditiva é uma evolução da manutenção preventiva, pois com a informatização é possível prever, através de diagnósticos e análise de certos parâmetros dos sistemas produtivos, as falhas possíveis, privilegiando a disponibilidade do equipamento.
A partir do texto, assinale a afirmativa INCORRETA.
Provas
Sobre ferramentas Microsoft Office 2010 para Windows, idioma Português, assinale a afirmativa INCORRETA.
Provas
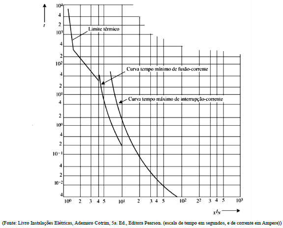
Fusíveis são elementos de proteção para as instalações elétricas. O gráfico abaixo mostra a zona de tempo-corrente de um fusível.

A partir da análise do gráfico apresentado, assinale a afirmativa correta.
Provas
Leia o texto a seguir e responda à questão.
Informática não é uma palavra americana?
Não. Não há nada parecido na língua inglesa. O nome foi criado pelos italianos, ainda na era jurássica da computação (período anterior aos anos 70, quando qualquer computador, por mais simplesinho que fosse, pesava mais que um caminhão) e nasceu da junção de informazione com matemática. A palavra é bonita e prática e por isso foi aceita pelos brasileiros e entrou no nosso dicionário. Além dela, os italianos criaram vários outros termos, como sistemística (que não sobreviveu fora da Itália) e telemática (que anda forte e rija pelo mundo afora).
Outra opção seria fazer como os franceses, o povo mais ortodoxo do mundo na hora de defender seu idioma. Eles nunca aceitaram o termo computador aplicado às máquinas de gestão de informação. Daí, criaram a palavra ordinateur, ou seja, aquilo que ordena, que propõe uma certa lógica, que organiza o pensamento. Embora muita gente ainda ache que a palavra ideal seria desordenador, dada a desordem que a evolução digital está ocasionando em suas vidas.
(Odisseia Digital. São Paulo: Abril, 2011.)
As palavras proparoxítonas são acentuadas como também as paroxítonas terminadas em ditongo. Assinale a alternativa que apresenta exemplo dessas regras, respectivamente.
Provas
Avalie a seguinte situação: Em uma indústria de beneficiamento de grãos existem muitos motores, de diferentes potências, e alguns deles necessitam ser acionados por meio de chave de partida suave (soft starter). Tendo em vista que os motores podem ser acionados de forma independente e aleatória, o responsável técnico pela montagem do quadro de comando sugeriu a compra de somente uma chave de partida suave. Sobre essa situação, assinale a afirmativa correta.
Provas
A figura abaixo ilustra a janela de configuração de saída de vídeo do Microsoft Windows 7, acessada pela opção Conectar a um Projetor ou pela Tecla Janela + P (
+ P) em sua configuração padrão de instalação e idioma Português.

Considerando que o Windows 7 esteja instalado em um computador do tipo notebook que possui o monitor integrado e mais uma saída de vídeo ligada a um projetor multimídia, analise as afirmativas.
I - A opção Somente computador direciona a saída de vídeo apenas para o monitor integrado do notebook e cancela a saída para o projetor conectado.
II - A opção Duplicar direciona a saída de vídeo para o monitor integrado do notebook em tamanho normal e duplica o tamanho da imagem enviada para o projetor conectado.
III - A opção Estender direciona a saída de vídeo para o monitor integrado do notebook e para o projetor conectado, considerando que um é extensão do outro, permitindo que algumas janelas sejam exibidas no monitor integrado do notebook e outras no projetor conectado.
IV - A opção Somente projetor direciona a saída de vídeo somente para o projetor conectado, cancelando a saída para o monitor integrado do notebook.
Está correto o que se afirma em:
Provas
Em uma planilha do Microsoft Excel 2010 para Windows, idioma Português, tem-se a seguinte função na célula B2, =SOMA(A1;A$2). Ao selecionar a célula B2 e executar o comando copiar (CTRL+C) e em seguida selecionar a célula C5 e executar o comando colar (CTRL+V), qual será a função resultante na célula C5?
Provas
Em uma planilha do Microsoft Excel 2010 para Windows, idioma Português, tem-se as seguintes células com valores: A1=1, A2=2, A3=3, A4=4, B1=0, B2=1, B3=2, B4=3. O valor resultante em uma outra célula qualquer da mesma planilha, caso seja aplicada a função =SE(SOMA(A1:B3)<10;SOMA(A1:B3);MÉDIA(A1:B2)) é:
Provas
Leia o texto a seguir e responda à questão.
Informática não é uma palavra americana?
Não. Não há nada parecido na língua inglesa. O nome foi criado pelos italianos, ainda na era jurássica da computação (período anterior aos anos 70, quando qualquer computador, por mais simplesinho que fosse, pesava mais que um caminhão) e nasceu da junção de informazione com matemática. A palavra é bonita e prática e por isso foi aceita pelos brasileiros e entrou no nosso dicionário. Além dela, os italianos criaram vários outros termos, como sistemística (que não sobreviveu fora da Itália) e telemática (que anda forte e rija pelo mundo afora).
Outra opção seria fazer como os franceses, o povo mais ortodoxo do mundo na hora de defender seu idioma. Eles nunca aceitaram o termo computador aplicado às máquinas de gestão de informação. Daí, criaram a palavra ordinateur, ou seja, aquilo que ordena, que propõe uma certa lógica, que organiza o pensamento. Embora muita gente ainda ache que a palavra ideal seria desordenador, dada a desordem que a evolução digital está ocasionando em suas vidas.
(Odisseia Digital. São Paulo: Abril, 2011.)
O pronome relativo refere-se a um antecedente, ou seja, retoma o sentido de uma palavra dita anteriormente no texto. Assinale o trecho em que a palavra que NÃO exerce essa função.
Provas
Caderno Container