Foram encontradas 2.625 questões.
Julgue os itens seguintes, referentes a edição e produção gráfica.
Um software de editoração eletrônica é um programa por meio do qual se pode desenhar uma página de jornal no computador. O uso desse tipo de software elimina a necessidade do rafe feito pelo diagramador.
Um software de editoração eletrônica é um programa por meio do qual se pode desenhar uma página de jornal no computador. O uso desse tipo de software elimina a necessidade do rafe feito pelo diagramador.
Provas
Questão presente nas seguintes provas
De acordo com as teorias da comunicação, julgue os itens que se seguem.
Pesquisas patrocinadas pela UNESCO, na década de 90 do século passado, ratificaram a ideia, defendida por diversas teorias em décadas anteriores, de que as audiências imitam comportamentos violentos veiculados na mídia.
Pesquisas patrocinadas pela UNESCO, na década de 90 do século passado, ratificaram a ideia, defendida por diversas teorias em décadas anteriores, de que as audiências imitam comportamentos violentos veiculados na mídia.
Provas
Questão presente nas seguintes provas
Considerando que determinada empresa tenha vendido, à vista, um
bem de seu ativo imobilizado por R$ 34.500,00, e sabendo que esse
bem, quando adquirido, há três anos e sete meses, possuía vida útil
remanescente de dez anos e foi registrado pelo custo de
R$ 54.000,00, julgue os itens que se seguem.
Caso a empresa utilize o método da soma dos dígitos para depreciação do bem, será registrado um lucro superior a R$ 10.000,00 na alienação.bem de seu ativo imobilizado por R$ 34.500,00, e sabendo que esse
bem, quando adquirido, há três anos e sete meses, possuía vida útil
remanescente de dez anos e foi registrado pelo custo de
R$ 54.000,00, julgue os itens que se seguem.
Provas
Questão presente nas seguintes provas
Acerca da estrutura conceitual para elaboração e apresentação de
demonstrações contábeis, conhecida como CPC 00 e recepcionada
pelo Conselho Federal de Contabilidade, julgue os itens a seguir.
Comparabilidade, confiabilidade e compreensibilidade são considerados pressupostos básicos para fins de elaboração das demonstrações contábeis.demonstrações contábeis, conhecida como CPC 00 e recepcionada
pelo Conselho Federal de Contabilidade, julgue os itens a seguir.
Provas
Questão presente nas seguintes provas
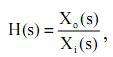
| A | B | C | C | s |
| 0 | 0 | 0 | 0 | 1 |
| 0 | 0 | 0 | 1 | 0 |
| 0 | 0 | 1 | 0 | 0 |
| 0 | 0 | 1 | 1 | 0 |
| 0 | 1 | 0 | 0 | 0 |
| 0 | 1 | 0 | 1 | 0 |
| 0 | 1 | 1 | 0 | 1 |
| 0 | 1 | 1 | 1 | 1 |
| 1 | 0 | 0 | 0 | 1 |
| 1 | 0 | 0 | 1 | 0 |
| 1 | 0 | 1 | 0 | 0 |
| 1 | 0 | 1 | 1 | 0 |
| 1 | 1 | 0 | 0 | 0 |
| 1 | 1 | 0 | 1 | 0 |
| 1 | 1 | 1 | 0 | 1 |
| 1 | 1 | 1 | 1 | 1 |
Considere que a tabela acima é a tabela verdade de um circuito lógico com quatro entradas (A, B, C e D) e uma saída (S). Com base nessa tabela, julgue o item a seguir.
A expressão lógica mínima, na forma soma de produtos, para a saída S é dada por \( S = B. C + \bar{B}. \bar{C}. \bar{D} \).
Provas
Questão presente nas seguintes provas
| A | B | C | C | s |
| 0 | 0 | 0 | 0 | 1 |
| 0 | 0 | 0 | 1 | 0 |
| 0 | 0 | 1 | 0 | 0 |
| 0 | 0 | 1 | 1 | 0 |
| 0 | 1 | 0 | 0 | 0 |
| 0 | 1 | 0 | 1 | 0 |
| 0 | 1 | 1 | 0 | 1 |
| 0 | 1 | 1 | 1 | 1 |
| 1 | 0 | 0 | 0 | 1 |
| 1 | 0 | 0 | 1 | 0 |
| 1 | 0 | 1 | 0 | 0 |
| 1 | 0 | 1 | 1 | 0 |
| 1 | 1 | 0 | 0 | 0 |
| 1 | 1 | 0 | 1 | 0 |
| 1 | 1 | 1 | 0 | 1 |
| 1 | 1 | 1 | 1 | 1 |
Considere que a tabela acima é a tabela verdade de um circuito lógico com quatro entradas (A, B, C e D) e uma saída (S). Com base nessa tabela, julgue o item a seguir.
A expressão lógica mínima, na forma produto de somas, para a saída S é dada por \( S = ( \bar{B} + C). (B + \bar{C}). ( C + \bar{D}) \).
Provas
Questão presente nas seguintes provas

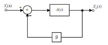
Considere a figura acima, que representa o diagrama de um sistema linear com realimentação, cuja função de transferência em malha aberta é A(s), em que a frequência no domínio da transformada de Laplace é s, e a entrada e a saída desse sistema são representadas, respectivamente, por
A função de transferência,
do sistema acima representado é dada por 
Provas
Questão presente nas seguintes provas
Com relação aos princípios de sistemas de comunicações, julgue os
itens a seguir.
Caso um sinal analógico com largura de banda 10 kHz seja multiplicado por outro com largura de banda 20 kHz, então, o sinal resultante possuirá largura de banda inferior ou igual a 30 kHz.itens a seguir.
Provas
Questão presente nas seguintes provas
Com relação a planejamento e controle de obras civis, julgue os próximos itens.
Uma curva de agregação de recursos ou curva S representa os recursos acumulados utilizados, em percentagem, associados ao tempo decorrido.
Uma curva de agregação de recursos ou curva S representa os recursos acumulados utilizados, em percentagem, associados ao tempo decorrido.
Provas
Questão presente nas seguintes provas
- Escrituração ContábilTransações ContábeisVariações Patrimoniais
- Procedimentos Contábeis Patrimoniais
Julgue os itens seguintes, referentes a receita e despesa públicas e
a interferências e mutações ativas e passivas, que podem causar
alterações no patrimônio público.
Uma mutação passiva pode decorrer da execução de uma despesa de capital.a interferências e mutações ativas e passivas, que podem causar
alterações no patrimônio público.
Provas
Questão presente nas seguintes provas
Cadernos
Caderno Container