Foram encontradas 1.357 questões.
Um técnico realizando análises cromatográficas em fase gasosa a partir de uma mistura com concentrações molares iguais de CH4, CH3OH e H2O, utilizando um detector de condutividade térmica (DCT) e injetados em isoterma de 110 °C. Considere as demais condições cromatográficas iguais.
Dados a condutividade térmica adimensional: He = 0,4; H₂ = 0,1; N2 = 0,03; CH4 = 0,05; CH3OH = 0,02; H2O = 0,01.

Baseado na intensidade dos sinais obtidos, na ordem de saída provável e na condutividade térmica, os gases de arraste em cada cromatograma A e B são
Provas
Sabendo-se que a função f(x) é definida como \( f \)(\( x \)) = \( \dfrac{x^2-\ 4}{x-\ 2} \) .
Qual é o valor de \( \dfrac{\lim}{x\ →\ 2} \) \( f \)(\( x \))?
Provas
- Química InorgânicaSoluções e Substâncias InorgânicasPropriedades Coligativas: Tonoscopia, Ebulioscopia, Crioscopia e Pressão Osmótica.
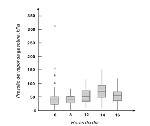
A medição da pressão de vapor da gasolina serve para avaliar a sua volatilidade, garantindo que o combustível funcione corretamente e de forma segura em diferentes condições climáticas. Após diversas medidas, foi construído um gráfico boxplot comparativo sobre as pressões de vapor para veículos de uma região em função do dia.

Em relação aos resultados apresentados no gráfico é correto afirmar que os resultados
Provas
Diversas drogas de interesse forense são analisadas diariamente no Brasil por técnicas cromatográficas. Elas podem ser identificadas e quantificadas utilizando cromatografia líquida de alta eficiência (CLAE) ou por cromatografia em fase gasosa (CG). Em relação as estas técnicas analíticas, é correto afirmar que
Provas
Butano e isobutano são utilizados como combustíveis, propelente em aerossóis e para produção de produtos químicos. Considere o equilíbrio químico butano ↔ isobutano, onde as concentrações são: [butano] = 0,50 mol/L e [isobutano] = 1,25 mol/L. A mistura ocupa o volume de 1,0 litro e em determinado momento são adicionados 1,50 mol/L de butano.
As novas concentrações no equilíbrio de butano e isobutano, em mol/L, é de
Provas
A imersão de um metal em soluções eletrolíticas, estabelece uma diferença de potencial entre as duas fases, a sólida e a líquida, conhecido como diferença de potencial eletrolítico. Durante a realização de um experimento, foi colocado um metal cobre (Cu) puro, em estado sólido, imerso em uma solução 0,01 M de Cu2+.
Sabendo-se que o potencial do eletrodo, E0 = +0,337 V, e a equação de Nernst
\( E = E^0 - \left( \dfrac{0,06}{n} \right) x\log \left( \dfrac{a_{red.}}{a_{oxid.}} \right) \)
O valor do potencial encontrado é de
Provas
Um grupo de geólogo analisou o teor de ferro no solo e obteve 12 amostras. As amostras obtidas, em unidade adimensional, foram:
x1 = 15,2; x2 = 9,3; x3 = 7,6; x4 = 11,9; x5 = 10,4; x6 = 9,6; x7 = 20,4; x8 = 9,4; x9 = 11,5; x10 = 16,2; x11 = 9,4; x12 = 8,3.
Qual é o valor da mediana amostral desses resultados?
Provas
O fosfato de cálcio tem uma grande aplicação industrial e bastante utilizado na produção de ácido fosfórico e fertilizantes. Ele é produzido a partir da reação
\( C \)\( a \)(\( O \)\( H \))2 + \( H \)3\( P \)\( O \)4 → \( C \)\( a \)3(\( P \)\( O \)4)2 + \( H \)2\( O \)
Balanceando-se a reação, a soma dos coeficientes estequiométricos é igual a
Provas
A documentação museológica no campo das geociências requer campos de informação específicos, muitos dos quais seriam irrelevantes em outras tipologias de museus.
Assinale a opção que apresenta uma característica específica para a catalogação de objetos de um museu de geociências.
Provas
No contexto da preservação digital de objetos em acervos museológicos, uma das muitas técnicas mobilizadas é a fotogrametria.
Assinale a opção que descreve corretamente em que consiste essa técnica.
Provas
Caderno Container