Foram encontradas 2.134 questões.
Vapor saturado de um fluido a TV escoa no interior de um tubo de cobre de parede fina e raio externo igual a 10 mm. Deseja-se revestir o tubo de forma a protegê-lo mecanicamente pela introdução de uma camada cilíndrica de material com condutividade térmica de 1 W/(mK) e espessura t a ser determinada. Adicionalmente, busca-se maximizar a taxa de transferência de calor do fluido para o ar, cuja temperatura é T∞. O coeficiente de transferência de calor por convecção do lado externo pode ser considerado igual a 50 W/(m2K), tanto para a superfície nua quanto para a superfície revestida. Considerando desprezível as resistências à transferência de calor por convecção entre o vapor e o tubo de cobre e por condução através da parede de cobre, assinale a alternativa com a espessura t do material protetor necessária para maximizar a perda de calor para o ar.
Provas

Provas

Provas

Provas

Provas

Provas
Uma bomba de calor será usada para manter a temperatura da água de uma piscina em 27 ºC. A piscina está em um ambiente cuja temperatura é 7 ºC. Dessa forma a água da piscina perde energia por transferência de calor para a vizinhança a uma taxa de 150 kW. A mínima potência requerida para acionar a bomba de calor é
Provas
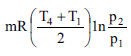
O ciclo Stirling é composto por quatro processos internamente reversíveis, uma compressão isotérmica do estado 1 ao 2 (T1 = T2), um aquecimento isocórico de 2 a 3 (v2 = v3), uma expansão isotérmica do estado 3 ao 4 (T3 = T4) e um resfriamento isocórico de 4 a 1 (v4 = v1). A massa de ar no motor é m. São conhecidas as temperaturas, T, e pressões, p, associadas a cada um dos estados. Considere que o ar comporta- se como gás ideal, com calores específicos constantes. A constante do ar é igual a R.
O trabalho líquido realizado pelo ciclo é igual a
Provas
O ciclo Stirling é composto por quatro processos reversíveis, uma compressão isotérmica do estado 1 ao 2, um aquecimento isocórico de 2 a 3, uma expansão isotérmica do estado 3 ao 4 e um resfriamento isocórico de 4 a 1. A massa de ar contida no motor é m. São conhecidas as temperaturas, T, pressões, p, energias internas específicas, u, e entropias específicas, s, associadas a cada um dos estados. Por exemplo, T1, p1, u1 e s1 indicam, respectivamente, a temperatura, a pressão, a energia interna e a entropia do estado 1.
O calor transferido ao ciclo a partir do reservatório a alta temperatura, QH, é igual a
Provas
Provas
Caderno Container