Foram encontradas 40 questões.
Considere o circuito e curva corrente de base versus tensão base-coletor apresentados na sequência para responder à questão .

Considerando o ganho do transistor BDC = 200, a corrente no coletor (Ic) é igual a:
Provas
Considere o conversor tiristorizado monofásico com carga resistiva apresentado e as formas de onda de entrada e saída apresentadas a seguir para responder à questão .


O valor eficaz da tensão Va em função do ângulo de disparo (a) e da tensão de pico na entrada do conversor (Vm) é dado por:
Provas
Considerando o ângulo de disparo a = 0°, o valor médio da tensão na carga resistiva será igual a:
Provas
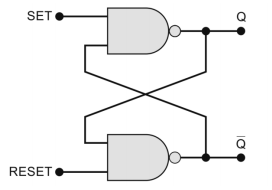
O diagrama lógico apresentado abaixo representa o LATCH com portas NAND.

Quando as entradas SET e RESET são iguais a 1, o que
ocorre com as saídas 
Provas

Aplicando as regras de simplificação no circuito combinacional apresentado acima, é possível obter uma saída simplificada com o número de portas lógicas reduzidas dado por:
Provas
I. A memória FLASH é eletricamente apagável no próprio circuito, ao passo que a memória EPROM precisa ser retirada do circuito e exposta à luz ultravioleta para ser apagada. II. A memória FLASH é eletricamente apagável no próprio circuito, ao passo que a memória EEPROM precisa ser retirada do circuito e exposta à luz ultravioleta para ser apagada. III. A memória FLASH apresenta densidade mais elevada e custo mais baixo que a memória EEPROM.
Das afirmativas apresentadas acima, apenas:
Provas
Provas
A figura abaixo representa uma carga trifásica equilibrada.

A linha da fase C foi rompida e a corrente nas fases A e B são 10 ∠0° e 10 ∠180°, respectivamente. A corrente de sequência zero é igual a:
Provas
Para o ensaio a vazio de um transformador, o circuito e os equipamentos indicados na figura abaixo foram utilizados.

Um transformar monofásico de 20 kVA, 8000/200 V e 60 Hz foi ensaiado. Os valores da tensão, potência e corrente a vazio medidos no lado de alta do transformador foram Vz = 8000 V, Iz = 10 A e Pz = 400 W. Para o transformador ensaiado, o módulo da impedância de magnetização e o fator de potência medidos no ensaio são respectivamente:
Provas
A figura abaixo representa a curva de conjugado versus rotação do rotor de um motor elétrico de indução.

A seta indicada na figura acima representa:
Provas
Caderno Container