Foram encontradas 560 questões.
Na execução do ensaio de Índice Suporte Califórnia (CBR), ao proceder à moldagem do corpo de prova, compactando-se em cinco camadas, cada camada deverá receber um número “x” de golpes caso o ensaio seja o AASHO normal, intermediário ou modifi cado. Este método prescreve o procedimento para determinação do valor do Índice de Suporte Califórnia e da expansão de solos em laboratório, utilizando amostras deformadas, não reusadas, de material que passa na peneira de 19 mm, com um mínimo de 5 corpos de prova.
Assinale a opção abaixo que apresenta respectivamente esses números “x” de golpes.Provas
Para avaliar o comportamento do solo são empregados ensaios de laboratório de modo a se determinar parâmetros de resistência e deformabilidade. Com relação aos ensaios de laboratório, analise as afirmativas.
I. O ensaio de cisalhamento direto não permite a determinação do módulo de cisalhamento. II. No ensaio de compressão triaxial adensado não drenado (CU), a pressão neutra durante o ensaio é praticamente nula, e as tensões totais aplicadas indicam as tensões efetivas. III. O ensaio de compressão edométrica avalia a compressibilidade e a resistência dos solos. É correto o que se afi rma emProvas
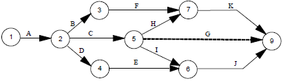
Considere que o desenvolvimento de uma determinada etapa da construção de uma obra tenha a sua rede CPM esquematizada na figura abaixo. Julgue os itens abaixo, relativos a essa rede.

I. O percurso crítico na rede é aquele que requer mais tempo para ser completado.
II. Na rede CPM, os círculos representam as atividades desenvolvidas.
III. Na rede CPM, as setas indicam os eventos realizados.
IV. A atividade G não consome tempo nem recursos, sendo chamada de fictícia ou fantasma.
V. Os círculos representam os eventos e as letras, as atividades.
É correto o que se afirma em:
Provas
A elaboração de um orçamento prévio é uma etapa do planejamento das obras, antes do fim do detalhamento do projeto, com finalidade de verificar a viabilidade do empreendimento. Uma forma de estimar o custo é considerar elementos provenientes de uma obra semelhante, com quantidades de materiais e serviços e respectivos custos conhecidos, cujo método é conhecido como:
Provas
A execução direta é uma das modalidades de execução de obras e serviços na qual a Administração Pública executa a obra com os seus próprios recursos de mão de obra, materiais e equipamentos e, eventualmente, contando com a participação de empresas terceirizadas para execução de serviços especializados. A execução indireta, que é o caso mais comum, é aquela no qual a Administração Pública conta com os serviços terceirizados para a realização dos serviços. Neste caso, o órgão decide se a contratação abrangerá apenas os materiais, apenas a mão de obra ou todo o conjunto. A modalidade de contratação pela qual é estabelecido um preço total para a execução da obra é denominada empreitada
Provas
No planejamento de uma obra, os cronogramas são elementos que permitem o acompanhamento do desenvolvimento físico e fi nanceiro de um empreendimento. A respeito da elaboração de cronogramas e dos seus principais tipos, é correto afirmar que
Provas
Há uma tomada de consciência mundial no sentido que os recursos naturais são limitados e não devem ser desperdiçados, sob o risco de comprometimento do equilíbrio ambiental de nosso planeta. No entanto, o uso dos recursos naturais e a diminuição da reserva desses recursos não têm sido levados em conta nos sistemas de contas, sejam eles contabilidades empresariais ou mesmo sistemas de contas nacionais. Com base nesse contexto, analise as afi rmativas que se seguem e assinale a opção que melhor representa o conjunto, considerando C para alternativa correta e E para afi rmativa errada.
( ) Contabilidade ambiental pode ser entendida como o registro do patrimônio ambiental (bens, direitos e obrigações ambientais) de determinada entidade ou instituição e de suas respectivas mudanças, expressos monetariamente, com vistas a propiciar informações regulares aos usuários internos e externos acerca dos eventos que causaram modifi cações na situação patrimonial da respectiva entidade ou instituição.
( ) A Contabilidade Ambiental Nacional diz respeito a toda uma Nação, subsidiando e gerando informações que podem ser utilizadas na formulação e na implementação das políticas macroeconômicas e ambientais nacionais, com acompanhamento, gerenciamento e controle de atividades que se servem de recursos ambientais, como, por exemplo, a exploração de jazidas de minérios, o desmatamento e o uso da água e do solo.
( ) No Brasil, desde 2010, já se utiliza a contabilidade ambiental para cálculo anual do PIBVerde (Produto Interno Bruto, com incorporação dos fl uxos de uso de recursos naturais), tarefa a cargo do IBGE – Instituto Brasileiro de Geografi a e Estatística.
Provas
Analise as afi rmativas que se seguem e assinale a opção que melhor representa o conjunto, considerando C para alternativa correta e E para afi rmativa errada.
( ) O valor econômico de um recurso ambiental é derivado de todos os seus atributos, sendo que esses atributos podem estar ou não associados a um uso. Ou seja, o consumo de um recurso ambiental se realiza por meio do uso e, também, do não-uso.
( ) Uma das parcelas potencialmente presentes na composição do valor econômico total de um recurso ambiental é o denominado Valor de Opção (VO), que corresponde à atribuição de um valor ao recurso ambiental por um indivíduo, tendo em vista a opção futura desse indivíduo em usufruir desse recurso ambiental.
( ) O conceito de Valor de Opção (VO) também considera uma parcela de valor dissociada do uso, mesmo futuro, desse recurso ambiental, parcela essa que se deriva de uma posição moral, cultural, ética ou altruística do indivíduo, em relação aos direitos de existência de espécies não-humanas ou de preservação de outras riquezas naturais.
Provas
Analise as afi rmativas que se seguem e assinale a opção que melhor representa o conjunto, considerando C para alternativa correta e E para afi rmativa errada.
( ) Ecomercado pode ser entendido como o mercado onde há incorporação, de forma integrada, dos aspectos sociais, econômicos e ambientais nas atividades desenvolvidas, de modo a propiciar a implantação e a efetivação do desenvolvimento sustentável.
( ) Os negócios sustentáveis fazem parte de um novo modelo empresarial, em que produtos e serviços ambientais baseiam suas estratégias na viabilidade ambiental para além da mera tecnologia, abrangendo todo ciclo de vida do produto - da matéria prima à eliminação.
( ) A Compensação Ambiental é um mecanismo de comando-e-controle que, baseado no princípio usuáriopagador de recursos naturais, busca determinar um valor fi nanceiro a ser pago pelo impacto ambiental causado por um empreendimento.
Provas
Analise as afirmativas que se seguem e assinale a opção que melhor representa o conjunto, considerando C para alternativa correta e E para afirmativa errada.
( ) Ecoeficiência pode ser conceituada como sendo a competitividade na produção e na colocação no mercado de bens e serviços que satisfaçam às necessidades humanas, trazendo qualidade de vida, minimizando os impactos ambientais e o uso de recursos naturais.
( ) A prática da Ecoeficiência em empresas de determinado país pode afetar o comércio internacional, por meio da ocorrência do denominado Dumping Ambiental, situação em que empresas ecoeficientes conseguem produzir bens e serviços a um valor menor e mais competitivo.
( ) Pode-se considerar como elementos básicos da ecoeficiência a redução da dispersão de materiais tóxicos, o incentivo à reciclagem, a maximização do uso sustentável dos recursos naturais e a extensão da durabilidade dos produtos.
Provas
Caderno Container