Foram encontradas 706 questões.
Se o dimensionamento foi correto e os reatores estão operando dentro das eficiências de projeto, então o conjunto de todos os reatores entrega o efluente ao corpo receptor tratado a nível:
Provas
Os dados que geraram o pluviograma foram:

A intensidade média de chuva que ocorreu nesse período de 90 minutos foi de:
Provas
- Arquitetura na Engenharia CivilProjetos de Arquitetura
- Gerenciamento, Planejamento e Controle de Obras
Quadro 1

Onde as atividades são:
• A: Instalação do canteiro
• B: Fundações
• C: Estrutura
• D: Telhado
• E: Instalações prediais
• F: Ligações prediais
• G: Alvenaria
• H: Revestimento e pintura
O projeto começa com o início da atividade A e acaba com o término da atividade H.
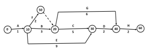
De acordo com o quadro 1, o diagrama de setas ou rede COM, com atividades em flechas, do projeto é:
Provas
- Arquitetura na Engenharia CivilProjetos de Arquitetura
- Gerenciamento, Planejamento e Controle de Obras
Quadro 1

Onde as atividades são:
• A: Instalação do canteiro
• B: Fundações
• C: Estrutura
• D: Telhado
• E: Instalações prediais
• F: Ligações prediais
• G: Alvenaria
• H: Revestimento e pintura
O projeto começa com o início da atividade A e acaba com o término da atividade H.
Provas
I. Deve ser previsto no mínimo um ponto de tomada para cada 5 m de perímetro, sendo que acima da bancada da pia deve ser prevista no mínimo uma tomada de corrente.
II. Deverá ser atribuída a potência mínima de 600 VA por ponto de tomada, até três pontos, e 100 VA por ponto para os excedentes, considerando-se cada um desses ambientes separadamente.
III. Os pontos de tomada devem ser atendidos por circuitos exclusivamente destinados à alimentação de tomadas desses locais, sendo que todo ponto de utilização previsto para alimentar, de modo exclusivo ou virtualmente dedicado, equipamento com corrente nominal superior a 10 A deve constituir um circuito independente.
Está correto o que se afirma em:
Provas
- Arquitetura na Engenharia CivilProjetos de Arquitetura
- Hidráulica e HidrologiaHidráulica na Engenharia Civil
- Fiscalização de Obras
Um desses parâmetros está corretamente apresentado a seguir:
Provas
Parafusos comuns ou parafusos de alta resistência sem protensão inicial podem ser utilizados nas:
Provas
Provas
- Edificações
- EstruturasAnálise Estrutural
- Gerenciamento, Planejamento e Controle de Obras
- Resistência dos Materiais e Análise EstruturalEstruturas de Concreto
- Materiais de Construção Civil
Provas
De acordo com esse manual:
Provas
Caderno Container