Foram encontradas 100 questões.
2425593
Ano: 2012
Disciplina: TI - Organização e Arquitetura dos Computadores
Banca: DIRENS Aeronáutica
Orgão: EEAr
Disciplina: TI - Organização e Arquitetura dos Computadores
Banca: DIRENS Aeronáutica
Orgão: EEAr
Provas:
Assinale a alternativa que contenha uma característica da memória RAM dinâmica (DRAM) em comparação à memória RAM estática (SRAM).
Provas
Questão presente nas seguintes provas
A conjunção coordenativa em destaque está corretamente classificada em
Provas
Questão presente nas seguintes provas
Leia:
O veículo elétrico não emite gás carbônico ou nenhum outro tipo de gás nocivo ao meio ambiente.
Assinale a alternativa em que o predicado destacado classifica-se como o predicado presente no trecho em destaque na frase acima.
Provas
Questão presente nas seguintes provas
Leia:
Ao contrário do que a juventude dos anos 60 viveu, os rapazes e as moças de hoje tem estabelecido com os pais uma relação de proximidade e amizade. Os temores que havia por parte dos filhos agora estão sendo dissipados.
Considerando os verbos em destaque, de acordo com a norma culta, pode-se dizer que a concordância do(s)
Provas
Questão presente nas seguintes provas
2424849
Ano: 2012
Disciplina: TI - Desenvolvimento de Sistemas
Banca: DIRENS Aeronáutica
Orgão: EEAr
Disciplina: TI - Desenvolvimento de Sistemas
Banca: DIRENS Aeronáutica
Orgão: EEAr
Provas:
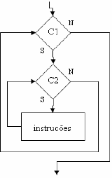
Selecione a alternativa com o trecho de programa em português estruturado correspondente ao diagrama de blocos da figura abaixo.
Considere: C1 = Condição 1 e C2 = Condição 2.

Provas
Questão presente nas seguintes provas
Em qual alternativa o termo destacado não é locução adjetiva?
Provas
Questão presente nas seguintes provas
Em qual alternativa o termo destacado é complemento nominal?
Provas
Questão presente nas seguintes provas
Considerando que você está usando o PHP para acessar um banco de dados MySQL, relacione a coluna da direita com a da esquerda e, em seguida, marque a alternativa que apresenta a sequência correta.
| 1- mysql_close() | ( ) usado para conectar ao banco |
| 2- mysql_connect() | ( ) seleciona o banco de dados ativo |
| 3- mysql_select_db() | ( ) utilizado para enviar a instrução SQL para o banco |
| 4- mysql_query() | ( ) utilizado para fechar a conexão com o banco de dados |
Provas
Questão presente nas seguintes provas
2442845
Ano: 2012
Disciplina: TI - Redes de Computadores
Banca: DIRENS Aeronáutica
Orgão: EEAr
Disciplina: TI - Redes de Computadores
Banca: DIRENS Aeronáutica
Orgão: EEAr
Provas:
Quanto ao funcionamento dos roteadores, marque a afirmativa incorreta.
Provas
Questão presente nas seguintes provas
Assinale a alternativa em que os verbos em destaque estão no modo imperativo.
Provas
Questão presente nas seguintes provas
Cadernos
Caderno Container