Foram encontradas 50 questões.
O Sistema Internacional de Unidades (SI) é um conjunto de unidades de medidas correspondentes às grandezas físicas fundamentais e suas derivações. O SI desempenha um importante papel nas medições, pois o uso das mesmas unidades de medida entre diferentes países e corporações permite compreender, de forma clara, os valores expressos nos processos de medição, possibilitando, por exemplo, a fabricação de produtos de acordo com as especificações técnicas e com as dimensões exatas e os valores reconhecidos em qualquer parte do planeta. Nesse contexto, o ampere, cujo símbolo é A, constitui a unidade para a grandeza corrente elétrica, sendo igual à passagem de 1,602176634x1019 cargas elementares por segundo, e corresponde à corrente que produz uma força de 2x10−7 N entre dois fios condutores paralelos, espaçados em 1 m.
As unidades, no sistema SI, para tempo, temperatura termodinâmica e intensidade luminosa, respectivamente, são:
Provas
Um técnico encontrou um papel com o seguinte esboço de componentes:

Após análise, ele concluiu acertadamente que os componentes, da esquerda para a direita, são, respectivamente, um:
Provas
Um contador BCD de 4 bits é incrementado de forma ascendente a cada pulso de relógio.
Sabendo-se que seu estado é 0111, após 4 pulsos de relógio, qual será o seu novo estado?
Provas

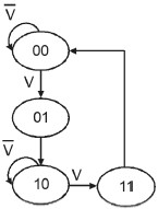
O diagrama de estados acima pode ser implementado com dois flip-flops D.
Adotando-se QBQA como a designação do estado, onde QB e QA são as saídas dos flip-flops, conclui-se que as entradas DB e DA são, respectivamente,
Provas

O mapa acima representa a saída de uma função booleana de 4 variáveis digitais: D, C, B e A.
A soma de produtos, desconsiderando-se inversões, que minimiza essa função, é:
Provas
Sejam P = FEh e Q = 02h números de 8 bits, representados em hexadecimal, com bit de sinal. Considere as afirmações a seguir e analise-as:
I: P / Q = FFh
II: P x Q = FCh
III: Q – P = 04h
IV: a soma P + Q gera um overflow
É(São) correta(s) APENAS a(s) afirmação(ões):
Provas
Em um determinado sistema de áudio, precisa-se de um amplificador de sinal capaz de proporcionar um ganho de tensão |Vo/vi| ≥ 25 e que seja aproximadamente linear para pequenos sinais de entrada vi.
O circuito amplificador capaz de atender a esses requisitos de projeto é:
Provas
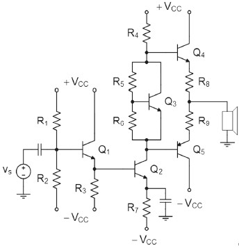
O amplificador de áudio representado no diagrama esquemático a seguir está danificado, e existe a suspeita de que os dois transistores bipolares de junção que compõem o estágio push-pull estejam queimados por superaquecimento.

Nesse contexto, quais são os dois transistores que precisam ser testados para verificar o estágio push-pull?
Provas
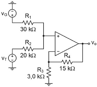
O circuito de áudio representado na Figura a seguir tem como finalidade combinar o sinal vG, captado de uma guitarra, com o sinal vT, proveniente de um teclado, sendo cada sinal amplificado com um ganho de tensão diferente na composição do sinal de saída vo.

Considerando-se o amplificador operacional ideal, os ganhos de tensão |Vo/vG| e |Vo/vT| proporcionados pelo circuito serão, respectivamente,
Provas
O circuito limitador representado no diagrama esquemático abaixo é usado para limitar a tensão vo(t) aplicada à entrada do conversor analógico-digital de um microcontrolador.

Ambos os diodos Zener Z1 e Z2, empregados nesse circuito limitador, apresentam a curva característica mostrada no gráfico abaixo.

Nesse circuito, qual será a máxima amplitude A1 que a forma de onda da tensão de entrada vs(t) pode apresentar, de modo que a tensão na saída vo(t) não seja ceifada pelo limitador de tensão?
Provas
Caderno Container