Foram encontradas 185 questões.
Um artesão de joias tem à sua disposição pedras brasileiras de três cores: vermelhas, azuis e verdes.
Ele pretende produzir joias constituídas por uma liga metálica, a partir de um molde no formato de um losango não quadrado com pedras nos seus vértices, de modo que dois vértices consecutivos tenham sempre pedras de cores diferentes.
A figura ilustra uma joia, produzida por esse artesão, cujos vértices A, B, C e D correspondem às posições ocupadas pelas pedras.

Com base nas informações fornecidas, quantas joias diferentes, nesse formato, o artesão poderá obter?
Provas
Questão presente nas seguintes provas
Jogar limpo
Argumentar não é ganhar uma discussão a qualquer preço. Convencer alguém de algo é, antes de tudo, uma alternativa à prática de ganhar uma questão no grito ou na violência física — ou não física. Não física, dois pontos. Um político que mente descaradamente pode cativar eleitores. Uma publicidade que joga baixo pode constranger multidões a consumir um produto danoso ao ambiente. Há manipulações psicológicas não só na religião. E é comum pessoas agirem emocionalmente, porque vítimas de ardilosa — e cangoteira — sedução. Embora a eficácia a todo preço não seja argumentar, tampouco se trata de admitir só verdades científicas — formar opinião apenas depois de ver a demonstração e as evidências, como a ciência faz. Argumentar é matéria da vida cotidiana, uma forma de retórica, mas é um raciocínio que tenta convencer sem se tornar mero cálculo manipulativo, e pode ser rigoroso sem ser científico.
Língua Portuguesa, São Paulo, ano 5, n. 66, abr. 2011 (adaptado).
No fragmento, opta-se por uma construção linguística bastante diferente em relação aos padrões normalmente empregados na escrita. Trata-se da frase “Não física, dois pontos”. Nesse contexto, a escolha por se representar por extenso o sinal de pontuação que deveria ser utilizado
Provas
Questão presente nas seguintes provas
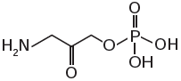
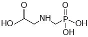
O glifosato !$ (C_3H_8NO_5P) !$ é um herbicida pertencente ao grupo químico das glicinas, classificado como não seletivo. Esse composto possui os grupos funcionais carboxilato, amino e fosfonato. A degradação do glifosato no solo é muito rápida e realizada por grande variedade de microrganismos, que usam o produto como fonte de energia e fósforo. Os produtos da degradação são o ácido aminometilfosfônico (AMPA) e o N-metilglicina (sarcosina):

AMARANTE JR., O. P. et al. Química Nova, São Paulo, v. 25, n. 3, 2002 (adaptado).
A partir do texto e dos produtos de degradação apresentados, a estrutura química que representa o glifosato é:
Provas
Questão presente nas seguintes provas
Nos estados, entretanto, se instalavam as oligarquias, de cujo perigo já nos advertia Saint-Hilaire, e sob o disfarce do que se chamou “a política dos governadores”. Em círculos concêntricos esse sistema vem cumular no próprio poder central que é o sol do nosso sistema.
PRADO, P. Retrato do Brasil. Rio de Janeiro: José Olympio, 1972.
A crítica presente no texto remete ao acordo que fundamentou o regime republicano brasileiro durante as três primeiras décadas do século XX e fortaleceu o(a)
Provas
Questão presente nas seguintes provas
Mapa 1
Distribuição espacial atual da população brasileira

THÉRY, H. As boas-novas sobre a população brasileira. Conhecimento Prático
Geográfico, n. 41, jan. 2012 (adaptado).
Mapa 2
Conflitos em terras indígenas

SIMIELLI, M. E. Geoatlas. São Paulo: Ática, 2009 (adaptado).
Os mapas representam distintos padrões de distribuição de processos socioespaciais. Nesse sentido, a menor incidência de disputas territoriais envolvendo povos indígenas se explica pela
Provas
Questão presente nas seguintes provas
O bit na galáxia de Gutenberg
Neste século, a escrita divide terreno com diversos meios de comunicação. Essa questão nos faz pensar na necessidade da “imbricação, na coexistência e interpretação recíproca dos diversos circuitos de produção e difusão do saber...”.
É necessário relativizar nossa postura frente às modernas tecnologias, principalmente à informática. Ela é um campo novidativo, sem dúvida, mas suas bases estão nos modelos informativos anteriores, inclusive, na tradição oral e na capacidade natural de simular mentalmente os acontecimentos do mundo e antecipar as consequências de nossos atos. A impressão é a matriz que deflagrou todo esse processo comunicacional eletrônico. Enfatizo, assim, o parentesco que há entre o computador e os outros meios de comunicação, principalmente a escrita, uma visão da informática como um “desdobramento daquilo que a produção literária impressa e, anteriormente, a tradição oral já traziam consigo”.
NEITZEL, L. C. Disponível em: www.geocities.com. Acesso em: 1 ago. 2012 (adaptado).
Ao tecer considerações sobre as tecnologias da contemporaneidade e os meios de comunicação do passado, esse texto concebe que a escrita contribui para uma evolução das novas tecnologias por
Provas
Questão presente nas seguintes provas
O que a internet esconde de você
Sites de busca manipulam resultados. Redes sociais decidem quem vai ser seu amigo — e descartam as pessoas sem avisar. E, para cada site que você pode acessar, há 400 outros invisíveis. Prepare-se para conhecer o lado oculto da internet.

GRAVATÁ, A. Superinteressante, São Paulo, ed. 297, nov. 2011 (adaptado).
Analisando-se as informações verbais e a imagem associada a uma cabeça humana, compreende-se que a venda
Provas
Questão presente nas seguintes provas
Entre as substâncias usadas para o tratamento de água está o sulfato de alumínio que, em meio alcalino, forma partículas em suspensão na água, às quais as impurezas presentes no meio se aderem.
O método de separação comumente usado para retirar o sulfato de alumínio com as impurezas aderidas é a
Provas
Questão presente nas seguintes provas
Disneylândia
Multinacionais japonesas instalam empresas em Hong-Kong
E produzem com matéria-prima brasileira
Para competir no mercado americano
[...]
Pilhas americanas alimentam eletrodomésticos ingleses na Nova Guiné
Gasolina árabe alimenta automóveis americanos na África do Sul
[...]
Crianças iraquianas fugidas da guerra
Não obtêm visto no consulado americano do Egito
Para entrarem na Disneylândia
ANTUNES, A. Disponível em: www.radio.uol.com.br. Acesso em: 3 fev. 2013 (fragmento).
Na canção, ressalta-se a coexistência, no contexto internacional atual, das seguintes situações:
Provas
Questão presente nas seguintes provas
A Secretaria de Saúde de um município avalia um programa que disponibiliza, para cada aluno de uma escola municipal, uma bicicleta, que deve ser usada no trajeto de ida e volta, entre sua casa e a escola. Na fase de implantação do programa, o aluno que morava mais distante da escola realizou sempre o mesmo trajeto, representado na figura, na escala 1 : 25 000, por um período de cinco dias.

Quantos quilômetros esse aluno percorreu na fase de implantação do programa?
Provas
Questão presente nas seguintes provas
Cadernos
Caderno Container