Foram encontradas 505 questões.
Pode-se dizer que a Engenharia de Recursos Hídricos aborda a consideração dos mais diversos valores que a água pode ter na sociedade.
Dentre tais valores, aquele que deriva de um uso potencial para promover o bem-estar da sociedade é o valor
Dentre tais valores, aquele que deriva de um uso potencial para promover o bem-estar da sociedade é o valor
Provas
Questão presente nas seguintes provas
Os conflitos de uso das águas podem ser classificados como conflitos de destinação de uso, conflitos de disponibilidade qualitativa e conflitos de disponibilidade quantitativa.
A retirada de água de uma reserva ecológica para irrigação, o lançamento de esgoto sem tratamento em um curso de água e a operação de uma hidrelétrica que causa tamanha flutuação das vazões a ponto de impedir a navegação são, respectivamente, exemplos de conflitos de
A retirada de água de uma reserva ecológica para irrigação, o lançamento de esgoto sem tratamento em um curso de água e a operação de uma hidrelétrica que causa tamanha flutuação das vazões a ponto de impedir a navegação são, respectivamente, exemplos de conflitos de
Provas
Questão presente nas seguintes provas
O processo de diferenciação do material sedimentar pode ser dividido em duas classes: a diferenciação mecânica e a química. No entanto, as formas de diferenciação podem ocorrer de maneira simultânea, separadas ou em conjunto.
Nas classes de diferenciação do material sedimentar, a diferenciação
Nas classes de diferenciação do material sedimentar, a diferenciação
Provas
Questão presente nas seguintes provas
No cenário de referência do Plano Decenal de Expansão de Energia 2022, uma das premissas é o(a)
Provas
Questão presente nas seguintes provas
Uma bacia hidrográfica de 365 hectares tem, na foz de seu rio principal, uma vazão média de 100 m3 /s. Estudos indicam que a evapotranspiração na área é de 715 mm/ano.
Como não há medição pluviométrica na área, aplicando-se o conceito de balanço hídrico, a precipitação anual, em mm, vale
Como não há medição pluviométrica na área, aplicando-se o conceito de balanço hídrico, a precipitação anual, em mm, vale
Provas
Questão presente nas seguintes provas
A Tabela a seguir apresenta os dados de vazão no exutório do rio principal de uma bacia hidrográfica. O comitê dessa bacia informa que reserva 40% da vazão que é igualada ou superada em 60% do tempo, para manutenção dos ecossistemas fluviais (vazão ecológica).

A vazão que o comitê reserva para a manutenção dos ecossistemas característicos da bacia é, em m3 /s, de

A vazão que o comitê reserva para a manutenção dos ecossistemas característicos da bacia é, em m3 /s, de
Provas
Questão presente nas seguintes provas
- Recursos HídricosConceito de Recursos Hídricos
- Recursos HídricosHidráulica e HidrologiaHidráulica
- Recursos HídricosHidráulica e HidrologiaHidrologia
A Tabela a seguir apresenta a vazão média em cada mês para um determinado rio.

De acordo com os dados da Tabela, a mediana e a amplitude interquartílica das vazões valem, respectivamente,

De acordo com os dados da Tabela, a mediana e a amplitude interquartílica das vazões valem, respectivamente,
Provas
Questão presente nas seguintes provas
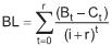
Usado para análise de impactos ambientais, o método da Análise Benefício/Custo é um método de avaliação de projetos. Nessa análise, deve-se calcular o Benefício Líquido (BL) para comparação das alternativas, através da expressão abaixo:
Nesse sentido, verifica-se que a(o)
Nesse sentido, verifica-se que a(o)
Provas
Questão presente nas seguintes provas
Por meio da análise das energias afluentes verificadas desde 1931 em cada subsistema, pode-se observar a incerteza hidrológica e sua variação entre os períodos úmidos e secos, a complementaridade entre regiões, a necessidade de reforços nas interligações e a possibilidade de ganho energético [...] quando se dispõe de reservatórios de acumulação.
Plano Decenal de Expansão de Energia 2022 / Ministério de Minas e Energia. Empresa de Pesquisa Energética. Brasília: MME/EPE, 2013. p. 88.
São características dos reservatórios apontados no trecho acima, EXCETO a seguinte:
Plano Decenal de Expansão de Energia 2022 / Ministério de Minas e Energia. Empresa de Pesquisa Energética. Brasília: MME/EPE, 2013. p. 88.
São características dos reservatórios apontados no trecho acima, EXCETO a seguinte:
Provas
Questão presente nas seguintes provas
A areia é um sedimento não consolidado constituído de grãos clásticos de tamanho médio.
O tipo de areia, cuja maioria dos grãos apresenta uma só classe de tamanho, sendo bem arredondados e com superfícies bem polidas e brilhantes é o da areia
O tipo de areia, cuja maioria dos grãos apresenta uma só classe de tamanho, sendo bem arredondados e com superfícies bem polidas e brilhantes é o da areia
Provas
Questão presente nas seguintes provas
Cadernos
Caderno Container