Foram encontradas 505 questões.
Um fluido, de densidade 0,0001, escoa por um canal retangular com largura de fundo igual a 4 m. A altura do fluido é de 2 m, e o canal é revestido com um material que a ele confere o coeficiente de rugosidade de Manning igual a 0,020. Qual a vazão desse fluido, em m3 /s?
Provas
Questão presente nas seguintes provas
- Meio AmbienteEnergia e o Meio Ambiente
- Recursos HídricosHidráulica e HidrologiaHidráulica
- Recursos HídricosHidráulica e HidrologiaHidrologia
A Tabela a seguir apresenta os dados de vazão no exutório do rio principal de uma bacia hidrográfica. O comitê dessa bacia informa que reserva 40% da vazão que é igualada ou superada em 60% do tempo, para manutenção dos ecossistemas fluviais (vazão ecológica).

Uma empresa pretende executar um projeto de geração de energia hidrelétrica e, para isso, solicita ao comitê aduzir águas de sua bacia para abastecimento do seu reservatório.
Considerando-se a vazão média como horizonte de planejamento e sabendo-se que o comitê não permitirá captações que deixem o rio com vazões inferiores à vazão ecológica, a vazão que será destinada ao projeto de geração hidrelétrica é, em m3 /s, de

Uma empresa pretende executar um projeto de geração de energia hidrelétrica e, para isso, solicita ao comitê aduzir águas de sua bacia para abastecimento do seu reservatório.
Considerando-se a vazão média como horizonte de planejamento e sabendo-se que o comitê não permitirá captações que deixem o rio com vazões inferiores à vazão ecológica, a vazão que será destinada ao projeto de geração hidrelétrica é, em m3 /s, de
Provas
Questão presente nas seguintes provas
- Manual de Redação da Presidência da RepúblicaAs Comunicações OficiaisPadrão OfícioPartes do documento no Padrão Ofício
- Manual de Redação da Presidência da RepúblicaAs Comunicações OficiaisPadrão OfícioO Padrão Ofício
O texto a seguir é um memorando hipotético. Considere-o para responder a questão.
Avaliando-se o memorando apresentado, constata-se que, de acordo com o Manual de redação da Presidência da República, a informação obrigatória que NÃO figura em seu cabeçalho é a seguinte:
Provas
Questão presente nas seguintes provas
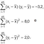
Deseja-se investigar a relação entre o consumo per capita de gasolina (Y) e o preço desse combustível (X). A partir de dados coletados de 45 cidades, observa-se uma relação linear entre as duas variáveis em estudo. Sabendo-se que

quanto da variabilidade referente ao consumo per capita do gás natural é explicado pelo seu preço?
Provas
Questão presente nas seguintes provas
848911
Ano: 2014
Disciplina: Legislação Específica das Agências Reguladoras
Banca: CESGRANRIO
Orgão: EPE
Disciplina: Legislação Específica das Agências Reguladoras
Banca: CESGRANRIO
Orgão: EPE
Observe as afirmações a seguir referentes à estrutura tarifária
do Gás Natural.
I – A tarifa de uso do armazenamento subterrâneo corresponde ao preço diário de energia armazenada. II – A tarifa de uso da rede de transporte é definida pela capacidade utilizada a faturar por ponto de entrada e pela capacidade utilizada a faturar por ponto de saída. III – A tarifa de comercialização é composta pelo termo tarifário fixo e pelo preço de energia.
É correto APENAS o que se afirma em
I – A tarifa de uso do armazenamento subterrâneo corresponde ao preço diário de energia armazenada. II – A tarifa de uso da rede de transporte é definida pela capacidade utilizada a faturar por ponto de entrada e pela capacidade utilizada a faturar por ponto de saída. III – A tarifa de comercialização é composta pelo termo tarifário fixo e pelo preço de energia.
É correto APENAS o que se afirma em
Provas
Questão presente nas seguintes provas
Cadernos
Caderno Container