Foram encontradas 752 questões.
A preparação de uma solução tampão emprega 100 mL de solução 1 mol/L de ácido etanoico (H3CCOOH, pKa = 4,74) e 100 mL de solução de hidróxido de sódio (NaOH). Para que o pH da solução resultante seja igual ao pKa, a concentração da solução de hidróxido de sódio, em mol.L – 1, deve ser igual a
Provas
Lipídios são formados por moléculas predominantemente apolares, usadas pelos organismos vivos para armazenamento duradouro de energia (gorduras e óleos) e como elementos de estruturas biológicas (fosfolipídios e ceras). são lipídios de cadeia insaturada, líquidos na temperatura de 25 ºC, usados para armazenamento de energia. são estruturas biológicas que formam uma bicamada na presença de água.
Assinale a alternativa que preenche, correta e respectivamente, as lacunas.
Provas
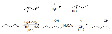
As reações apresentadas a seguir são realizadas para obtenção de álcoois.

As substâncias que X e Y representam, respectivamente, nessas reações são:
Provas
Considere os seguintes compostos oxigenados.
I. propano-1,2-diol
II. propan-2-ol
III. metoxietano
IV. propan-1-ol
A ordem decrescente de temperaturas de ebulição para esses compostos é
Provas
“O tubo de uma televisão é composto por um gerador de elétrons em uma ponta e uma tela de vidro revestida com sais de fósforo na outra ponta. Os elétrons, quando batem neste sal da tela, o fazem brilhar e vemos um ponto luminoso (fosforescência).”
(https://pt.quora.com/Como-as-TVs-de-tubo-eram-as-imagens. Adaptado)
Os modelos atômicos que primeiro explicaram a presença de elétrons no átomo e o fenômeno da fosforescência, são, em ordem cronológica,
Provas
Os diagramas de energia para os orbitais moleculares I e II se referem a moléculas diatômicas homonucleares.

(Atkins, P. et al. Princípios de Química – Questionando a Vida Moderna e o Meio Ambiente. 5a ed., 2012, p. 118. Adaptado)
As moléculas homonucleares do 2º período da Tabela Periódica que podem ser representadas por I e II são respectivamente:
Provas
O fósforo sólido (P4), em meio básico, se desproporciona formando o gás fosfina (PH3) e o íon dihidrogenofosfato (H2PO4 –). Para cada 2 mols de fósforo (P4) que se desproporciona são consumidos de íons OH – e são formados de fosfina e do íon diidrogenofosfato.
Assinale a alternativa que preenche, correta e respectivamente, as lacunas do texto.
Provas
O TNT (trinitrotolueno) é um explosivo que pode ser obtido pela reação representada a seguir:

Considere o conjunto de reações para obtenção do ácido nítrico a partir da amônia, em um processo com rendimento de 65%.
4 NH3(g) + 5 O2(g) → 4 NO(g) + 6 H2O(g)
2 NO(g) + O2(g) → 2 NO2(g)
3 NO2(g) + H2O(\( \ell \)) → 2 HNO3(\( \ell \)) + NO(g)
A massa de amônia necessária nesse processo, para a produção do ácido nítrico que será consumido na obtenção de 1 mol de TNT, é de, aproximadamente,
Provas
Um produto em pó para preparo de 1 L de refresco é comercializado em embalagens individuais. Seu rótulo informa que cada 100 mL do produto preparado contêm 34,9 mg do edulcorante aspartame. A figura apresenta a fórmula estrutural desse edulcorante.

A concentração de aspartame no refresco, em mol.L – 1, é de, aproximadamente,
Provas
As imagens PET (Positron Emission Tomography, no inglês) são obtidas a partir do uso de radionuclídeos emissores de partículas β+ ou pósitrons. Dentre os radionuclídeos empregados, destacam-se o 13N, 15O, 18F, 64Cu e 68Ga, que reagem instantaneamente com elétrons presentes no organismo e emitem dois fótons (γ) de alta energia.
(Vista do Radiofármacos e suas aplicações | Brazilian Journal of Health and Pharmacy (crfmg.org.br). Adaptado)
Dentre os radioisótopos descritos no texto, há um cujo íon bivalente estável é isoeletrônico do elemento químico com Z = 10 em seu estado fundamental. Esse radioisótopo tem a quantidade de nêutrons igual a
Provas
Caderno Container