Foram encontradas 100 questões.
O número de soluções inteiras que satisfaz a inequação !$ 4^x - 10 ⋅ 2^x + 16 < 0 !$ é igual a
Provas
Considere !$ i !$ a unidade imaginária. A soma infinita !$ 5i - { \large 5 \over 2} - { \large 5i \over 4} + { \large 5 \over 8} + { \large 5i \over 16} - { \large 5 \over 32} - { \large 5i \over 64} + ... !$, onde o n-ésimo termo é dado por !$ { \large 5i^n \over 2^{n-1}} \ (n=1,2,3...) !$ , resulta no número complexo cujas partes real e imaginária são, respectivamente, iguais a
Provas
Simplificando-se a expressão !$ { \large (2 - 2i)^{10} \over i^{2021}} !$ , onde !$ i !$ é a unidade imaginária, obtém-se
Provas
Sejam !$ x !$ um ângulo qualquer, em radianos, e !$ i !$ a unidade imaginária. O determinante da matriz !$ \begin{pmatrix} cos(2x) & -i & -sen(x) \\ i & 1 & isen(x) \\ sen(x) & 0 & 1 \end{pmatrix} !$ é igual a
Provas
O Cap R. Gomes é um autêntico “canga”, isto é, um militar que não apenas coopera com os membros de sua equipe, mas estimula superiores, pares e subordinados ao bom cumprimento das missões. Em particular, ele incentiva um grupo de militares a melhorar o desempenho na corrida. Para tal, criou um programa de treinamento em que é preciso correr exatamente 576 Km no total, começando com 26 Km na primeira semana e, a partir da segunda, acrescentando exatos 4 Km a cada semana, ou seja, cada integrante do grupo deve correr exatamente 26 Km na 1ª semana, 30 Km na 2ª semana, 34 Km na 3ª semana e assim sucessivamente. Após quantas semanas a meta de 576 Km será atingida?
Provas
Considere a função !$ p : \mathbb R \rightarrow \mathbb R !$ dada por !$ p(x)=x^5 – 5 x^4+10 x^3 – 10 x^2+5 x – 1 !$ e a função !$ q : \mathbb R \rightarrow \mathbb R !$ onde !$ q (x)=p(x – 2000) !$. O valor numérico de !$ q (2021) !$ é igual a
Provas
Em um experimento laboratorial, misturou-se 25 mL de uma solução aquosa de ácido clorídrico com concentração 0,8 mol L-1 com 25 mL de uma solução aquosa de hidróxido de sódio com concentração 0,6 mol L-1.
Acerca do experimento, são feitas as seguintes afirmativas:
I – Trata-se de uma reação de neutralização.
II – A substância de caráter alcalino (básico) está em excesso estequiométrico.
III – A solução resultante após a reação possui caráter ácido.
IV – Após a reação, o pH da solução resultante possui valor igual a 2.
Das afirmativas feitas, estão corretas apenas
Provas
Leia o texto a seguir e resolva a questão:
“A ozonólise utiliza ozônio (O3) na presença de água (H2O) e zinco (Zn). O ozônio adiciona-se à dupla ligação do alqueno, originando um composto intermediário instável, denominado ozoneto ou ozonida. O ozoneto, por sua vez, se hidrolisa, originando aldeídos e/ou cetonas. A finalidade da utilização do zinco é evitar que o oxigênio, que pode ser produzido pela decomposição da água oxigenada, oxide o aldeído, transformando-o em ácido carboxílico.”
Fonte: modificado de USBERCO, João e SALVADOR, Edgard. Química. 14ª ed. Reform - São Paulo: Editora Saraiva,
2009. v. 3: Química Orgânica. p. 348.
Sabe-se que a ozonólise de um alqueno genérico denominado A, produziu os compostos propanona e propanal como produtos, além da substância H2O2.
A + O3
propanona + propanal + H2O2
Acerca desta reação e de seus reagentes e produtos, são feitas as seguintes afirmativas:
I – De acordo com a IUPAC, o nome oficial da substância A é 2-metilpent-2-eno.
II – O nome da substância H2O2 é superóxido de hidrogênio.
III – O grupo orgânico carbonila está presente nas três substâncias orgânicas (substância A, propanona e propanal).
IV – Os compostos A, propanona e propanal têm em sua estrutura ao menos um carbono com hibridização sp2.
V – A cadeia carbônica da substância A é ramificada.
Das afirmativas feitas, estão corretas apenas
Provas
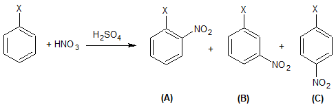
Leia o texto a seguir e resolva a questão:
“Quando se efetuam duas substituições em um anel aromático, verifica-se experimentalmente que a posição da segunda substituição no anel depende da estrutura do primeiro grupo substituinte, ou seja, o primeiro ligante do anel determinará a posição preferencial para a outra substituição. Esse fenômeno recebe o nome de dirigência e existem somente dois tipos de dirigentes: ortoparadirigentes e metadirigentes.”
Fonte: USBERCO, João e SALVADOR, Edgard. Química. 14ª ed. Reform - São Paulo: Editora Saraiva, 2009. v. 3:
Química Orgânica. p. 318.
Considere a mononitração de um composto hipotético de fórmula C6H5X, em presença de ácido sulfúrico como catalisador. Esta mononitração pode gerar como produtos os compostos A, B e C, cuja reação é representada abaixo:

Acerca dessa reação e de seus compostos, são feitas as seguintes afirmativas:
I – Trata-se de uma reação de condensação.
II – Caso X seja um haleto, os compostos A e C serão os produtos preferencialmente formados na reação.
III – Caso X seja o grupo metila (–CH3), o composto B será o produto preferencialmente formado na reação.
IV – Caso X seja o grupo nitro (–NO2), o composto B será o produto preferencialmente formado na reação.
V – Os compostos A, B e C são isômeros de função.
Das afirmativas feitas, estão corretas apenas
Provas
Considere a equação da reação hipotética: X + Y + Z → W + T + Q
São conhecidos os seguintes resultados do estudo cinético desta reação, obtidos nas mesmas condições experimentais:
| Experimento | [X] inicial | [Y] inicial | [Z] inicial | Velocidade (mol L-1 s -1) |
| 1 | 0,01 | 0,01 | 0,01 | 1,2 x 10-2 |
| 2 | 0,02 | 0,01 | 0,01 | 2,4 x 10-2 |
| 3 | 0,02 | 0,03 | 0,01 | 7,2 x 10-2 |
| 4 | 0,01 | 0,01 | 0,02 | 4,8 x 10-2 |
Considere [ ] = concentração mol L-1.
A partir das observações experimentais, conclui-se que a equação da velocidade para a reação é
Provas
Caderno Container