Foram encontradas 120 questões.
Considere os seguintes conjuntos: X = estudantes da UnB; A = estudantes da UnB que tendem a ser mais ousados; B = estudantes da UnB que consideram o erro como uma etapa da aprendizagem; D = estudantes da UnB que desenvolvem habilidades relacionadas à criatividade. Nessa situação, se Y⊂X, indique por CX(Y) o complemento de Y em X. Com relação a esses conjuntos, julgue o item abaixo.
O conjunto dos estudantes da UnB para os quais a proposição “Os estudantes tendem a ser mais ousados e consideram o erro como uma etapa da aprendizagem” seja falsa é igual a CX(A)∩CX(B).
O conjunto dos estudantes da UnB para os quais a proposição “Os estudantes tendem a ser mais ousados e consideram o erro como uma etapa da aprendizagem” seja falsa é igual a CX(A)∩CX(B).
Provas
Questão presente nas seguintes provas
Considere os seguintes conjuntos: X = estudantes da UnB; A = estudantes da UnB que tendem a ser mais ousados; B = estudantes da UnB que consideram o erro como uma etapa da aprendizagem; D = estudantes da UnB que desenvolvem habilidades relacionadas à criatividade. Nessa situação, se Y⊂X, indique por CX(Y) o complemento de Y em X. Com relação a esses conjuntos, julgue o item abaixo.
Se A⊂B, então todo estudante da UnB que tende a ser mais ousado considera o erro como uma etapa da aprendizagem.
Se A⊂B, então todo estudante da UnB que tende a ser mais ousado considera o erro como uma etapa da aprendizagem.
Provas
Questão presente nas seguintes provas
Considere os seguintes conjuntos: X = estudantes da UnB; A = estudantes da UnB que tendem a ser mais ousados; B = estudantes da UnB que consideram o erro como uma etapa da aprendizagem; D = estudantes da UnB que desenvolvem habilidades relacionadas à criatividade. Nessa situação, se Y⊂X, indique por CX(Y) o complemento de Y em X. Com relação a esses conjuntos, julgue o item abaixo.
O conjunto dos estudantes da UnB para os quais a proposição “Se os estudantes consideram o erro como uma etapa da aprendizagem, então eles desenvolvem habilidades relacionadas à criatividade” seja verdadeira é igual a D∪[CX(B)∩CX(D)].
O conjunto dos estudantes da UnB para os quais a proposição “Se os estudantes consideram o erro como uma etapa da aprendizagem, então eles desenvolvem habilidades relacionadas à criatividade” seja verdadeira é igual a D∪[CX(B)∩CX(D)].
Provas
Questão presente nas seguintes provas
Com relação aos estimadores de mínimos quadrados e de máxima verossimilhança, julgue os itens seguintes.
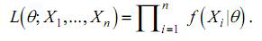
Se a amostra X1, X2, ... , Xn for formada por observações dependentes, então a função de verossimilhança será igual a
Se a amostra X1, X2, ... , Xn for formada por observações dependentes, então a função de verossimilhança será igual a
Provas
Questão presente nas seguintes provas
Acerca dos modelos de regressão linear, julgue os itens a seguir.
O intercepto do modelo de regressão linear simples Yi = α + βi + ∈i, ∈i ~ N( 0; σ2) depende apenas da média de x e y para ser calculado.
O intercepto do modelo de regressão linear simples Yi = α + βi + ∈i, ∈i ~ N( 0; σ2) depende apenas da média de x e y para ser calculado.
Provas
Questão presente nas seguintes provas
Acerca dos modelos de regressão linear, julgue os itens a seguir.
Considere que um modelo linear múltiplo com interação seja dado por Yi = β0 + β1 X1i + β2 X2i - β12 X1i X2i + ∈i, ∈i ~N ( 0; σ2) em que E ( Yi | X1i = 0, X2i= 0) = E ( Yi | X 1i = 1, X2i = k), k < ∞, β1 > 0, β2 > 0, β12 > 0 .Nessa situação, β2 ≠ β12.
Considere que um modelo linear múltiplo com interação seja dado por Yi = β0 + β1 X1i + β2 X2i - β12 X1i X2i + ∈i, ∈i ~N ( 0; σ2) em que E ( Yi | X1i = 0, X2i= 0) = E ( Yi | X 1i = 1, X2i = k), k < ∞, β1 > 0, β2 > 0, β12 > 0 .Nessa situação, β2 ≠ β12.
Provas
Questão presente nas seguintes provas
Acerca dos modelos de regressão linear, julgue os itens a seguir.
Considere que Y seja uma variável binária e Z seja definida por Z = 1n ( p/1- p) = β 0 + β1X em que p = p( Y = 1) e X é uma covariável. Considere ainda que X assuma valores inteiros positivos, que β0= β1 = 0,2 e que 2,72 e 7,39 sejam os valores aproximados, respectivamente, de e e e2 Nessa situação, é correto afirmar que a chance de Y = 1 quando X = 10 é superior a 5 vezes a chance correspondente quando X = 0.
Considere que Y seja uma variável binária e Z seja definida por Z = 1n ( p/1- p) = β 0 + β1X em que p = p( Y = 1) e X é uma covariável. Considere ainda que X assuma valores inteiros positivos, que β0= β1 = 0,2 e que 2,72 e 7,39 sejam os valores aproximados, respectivamente, de e e e2 Nessa situação, é correto afirmar que a chance de Y = 1 quando X = 10 é superior a 5 vezes a chance correspondente quando X = 0.
Provas
Questão presente nas seguintes provas
Considerando os métodos de inferência para os parâmetros do modelo de regressão, julgue os próximos itens.
Considerando um gráfico da distância de Cook para cada observação amostral que resultou de um ajuste por regressão linear, as observações influentes são aquelas que apresentam pequenas distâncias de Cook
Considerando um gráfico da distância de Cook para cada observação amostral que resultou de um ajuste por regressão linear, as observações influentes são aquelas que apresentam pequenas distâncias de Cook
Provas
Questão presente nas seguintes provas
Considerando os métodos de inferência para os parâmetros do modelo de regressão, julgue os próximos itens.
Um critério utilizado para se verificar a qualidade de ajuste de um modelo de regressão é o AIC (critério de informação de Akaike), que é dado por AIC = 2(k – l (b; X)), em que k é o número de parâmetros do modelo e l (b; X) é a log-verossimilhança l(β; X) calculada em β = b. Considerando a classe dos modelos com k = κ parâmetros, então o AIC será mínimo se b for o estimador de máxima verossimilhança para β.
Um critério utilizado para se verificar a qualidade de ajuste de um modelo de regressão é o AIC (critério de informação de Akaike), que é dado por AIC = 2(k – l (b; X)), em que k é o número de parâmetros do modelo e l (b; X) é a log-verossimilhança l(β; X) calculada em β = b. Considerando a classe dos modelos com k = κ parâmetros, então o AIC será mínimo se b for o estimador de máxima verossimilhança para β.
Provas
Questão presente nas seguintes provas
A respeito dos métodos de análise de resíduos do modelo de regressão, julgue os itens subsequentes.
A suposição de homocedasticidade pode ser verificada através de um gráfico de resíduos.
A suposição de homocedasticidade pode ser verificada através de um gráfico de resíduos.
Provas
Questão presente nas seguintes provas
Cadernos
Caderno Container