Foram encontradas 107 questões.
Provas
Provas
Considerando-se a curva de magnetização de um material ilustrada na figura abaixo, em que B é o fluxo magnético e H, o campo magnético, é correto afirmar que a susceptibilidade magnética correspondente ao fluxo B1 é menor que aquela correspondente ao fluxo B2.

Provas

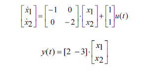
Considerando que a representação no espaço de estados de determinado sistema contínuo no tempo seja dada pelas relações acima, em que u(t) é o sinal de entrada e y(t), o sinal de saída, julgue os itens subsequentes.
Provas

Considerando que a representação no espaço de estados de determinado sistema contínuo no tempo seja dada pelas relações acima, em que u(t) é o sinal de entrada e y(t), o sinal de saída, julgue os itens subsequentes.
Provas

Considerando que a representação no espaço de estados de determinado sistema contínuo no tempo seja dada pelas relações acima, em que u(t) é o sinal de entrada e y(t), o sinal de saída, julgue os itens subsequentes.
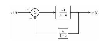
Em termos da relação entrada/saída, o referido sistema pode ser representado pelo diagrama de blocos a seguir, em que s representa a frequência complexa da transformada de Laplace.

Provas

A figura acima ilustra o comportamento da saída de determinado sistema linear de segunda ordem, em resposta a uma entrada do tipo degrau. A função de transferência que representa esse sistema não possui zeros. Considerando essas informações, julgue os próximos itens.
Provas

A figura acima ilustra o comportamento da saída de determinado sistema linear de segunda ordem, em resposta a uma entrada do tipo degrau. A função de transferência que representa esse sistema não possui zeros. Considerando essas informações, julgue os próximos itens.
Provas

A figura acima ilustra o comportamento da saída de determinado sistema linear de segunda ordem, em resposta a uma entrada do tipo degrau. A função de transferência que representa esse sistema não possui zeros. Considerando essas informações, julgue os próximos itens.
Provas
- Fundamentos de Sistemas OperacionaisSistemas de Tempo Compartilhado
- Fundamentos de Sistemas OperacionaisSistemas de Tempo Real
Provas
Caderno Container