Foram encontradas 1.486 questões.
A respeito de combate e prevenção de incêndio, julgue o item que se segue.
Para combater incêndio em um quadro de chaves elétricas, o extintor recomendado é o de espuma.
Provas
A respeito de combate e prevenção de incêndio, julgue o item que se segue.
No caso de queima de combustível líquido, o uso correto do extintor de espuma consiste em manter o extintor em pé, apoiado sobre sua base, na posição vertical normal, e dirigir o jato de espuma para a base do fogo.
Provas
A respeito de combate e prevenção de incêndio, julgue o item que se segue.
O fogo resulta de uma reação química de combustão que requer a presença simultânea de três elementos: o combustível — como madeira, papel, álcool, querosene —, a fonte de ignição — calor liberado por chamas de maçarico ou por arcos elétricos, por exemplo — e o comburente — normalmente, o oxigênio presente no ar atmosférico.
Provas
A respeito de combate e prevenção de incêndio, julgue o item que se segue.
As medidas básicas de prevenção de incêndios incluem a manutenção e a lubrificação constante dos equipamentos, com o objetivo de se evitar o aquecimento por atrito nas partes móveis, o que originaria perigosa fonte de calor.
Provas
A respeito de combate e prevenção de incêndio, julgue o item que se segue.
Em caso de incêndio, a brigada, caso exista, deve inicialmente intervir, sob orientação do seu superior. Não dispondo dos recursos necessários, a brigada deverá chamar o corpo de bombeiros, que, antes de iniciar o combate ao incêndio, deve desligar a entrada de força e ligar a emergência, além de fechar portas e janelas para isolar o local do sinistro.
Provas
No que se refere a equipamentos de proteção individual (EPI) e coletiva (EPC) como recursos para a segurança do trabalhador, julgue o item a seguir.
Conforme estabelecido na Consolidação das Leis do Trabalho (CLT), a empresa é obrigada a fornecer os EPIs, sem qualquer ônus ou custo para o trabalhador.
Provas
No que se refere a equipamentos de proteção individual (EPI) e coletiva (EPC) como recursos para a segurança do trabalhador, julgue o item a seguir.
A operação segura de solda oxiacetilênica envolve, entre outros, o uso de óculos de proteção adequados, avental e luvas de raspa. Nesse caso, a água é, preferencialmente, o agente extintor do fogo em acidentes com a formação de chamas; e, na lubrificação das válvulas e das partes móveis do cilindro de oxigênio, são usados óleo e graxas comuns.
Provas
Com relação a processos industriais e sistemas de automação, julgue o item que se segue.
O controlador lógico programável (CLP) estabelece, ao processo de manufatura, uma sequência de operações que dependem do monitoramento das variáveis dos processos.
Provas

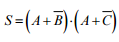
A expressão booliana mínima para S na forma produto de somas é dada por
Provas

Na forma soma de produtos, a expressão booliana mínima para S é dada por
Provas
Caderno Container