Foram encontradas 120 questões.
A quantidade, X, de trancamentos de alunos por semestre em uma universidade segue uma distribuição Poisson com parâmetro λ, que é expressa por
para k = 0, 1, 2, þ.
Considerando que o estimador de máxima verossimilhança para λ seja denotado
e que a universidade perca receita proporcionalmente ao ln(X), julgue o item subsecutivo.
Segue abaixo:
Os limites inferiores e superiores do intervalo de confiança de máxima verossimilhança para ln(λ) podem ser obtidos calculando-se a função logarítmica (ln), respectivamente, nos limites inferiores e superiores do intervalo de confiança de máxima verossimilhança para λ.
Provas
Questão presente nas seguintes provas
Alunos de um departamento de uma universidade estudaram por dois livros diferentes, A e P. Foram retiradas amostras aleatórias simples dos que estudaram pelo livro A e dos que estudaram pelo livro P, tendo sido observadas as notas dos alunos em um exame padronizado. Um teste t de Student foi aplicado com a hipótese nula H0: μA = μP e a hipótese alternativa H1: μA > μP, em que μA e μP representam, respectivamente, as médias populacionais das notas dos alunos, no exame padronizado, que estudaram pelo livro A e pelo livro P. O valor p obtido foi 0,03.
Se a hipótese alternativa fosse
Provas
Questão presente nas seguintes provas
Cada membro de uma amostra aleatória de alunos respondeu ou sim ou não a uma das seguintes questões.
Q1: Se algum colega seu estivesse deprimido, você o encaminharia ao serviço de atendimento psicológico?
Q2: Se você estivesse deprimido, procuraria o serviço de atendimento psicológico?
Um teste qui-quadrado foi executado para analisar os dados com o nível de significância de 0,05 e hipótese nula H1: pQ1 = pQ2, em que pQ1 e pQ2 são as proporções de alunos que responderam sim às questões Q1 e Q2 respectivamente na população.
Com base nessa situação hipotética, julgue o item que se segue.
Considere que, para a hipótese alternativa
, tenha sido obtido um valor p (ou nível descritivo ou probabilidade de significância) igual a 0,08. Nessa situação, se a hipótese alternativa for
, então a hipótese nula será rejeitada.
Provas
Questão presente nas seguintes provas
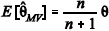
Um estatístico estimou a quantidade máxima, θ, de processos que um funcionário de sua empresa pode analisar durante um dia de trabalho, assumindo que as quantidades de processos X1, X2, þ Xn , analisados por cada um dos n funcionários dessa empresa, sejam estatisticamente independentes e sigam uma distribuição Uniforme[0,θ].
A estatística T({Xi}) = max(X1, þ, Xn) é suficiente para θ.
Provas
Questão presente nas seguintes provas
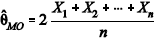
Um estatístico estimou a quantidade máxima, θ, de processos que um funcionário de sua empresa pode analisar durante um dia de trabalho, assumindo que as quantidades de processos X1, X2, þ Xn , analisados por cada um dos n funcionários dessa empresa, sejam estatisticamente independentes e sigam uma distribuição Uniforme[0,θ].
Nessa situação,
Provas
Questão presente nas seguintes provas
Um estatístico estimou a quantidade máxima, θ, de processos que um funcionário de sua empresa pode analisar durante um dia de trabalho, assumindo que as quantidades de processos X1, X2, þ Xn , analisados por cada um dos n funcionários dessa empresa, sejam estatisticamente independentes e sigam uma distribuição Uniforme[0,θ].
Um estimador de momentos para θ é
Provas
Questão presente nas seguintes provas
Uma amostra aleatória simples com reposição
foi retirada de uma grande população de alunos do ensino médio para avaliar suas expectativas acerca do ensino superior. Nessa amostra,
se o estudante j já se decidiu acerca de sua carreira profissional,
e se o estudante j ainda não se decidiu sobre esse assunto.
Com relação ao total amostral, julgue os itens a seguir, considerando que e que
.
Nessa situação, a soma Sn, que representa uma contagem de estudantes na amostra já decididos sobre suas carreiras profissionais, segue uma distribuição binomial.
Com relação ao total amostral, julgue os itens a seguir, considerando que e que
Nessa situação, a soma Sn, que representa uma contagem de estudantes na amostra já decididos sobre suas carreiras profissionais, segue uma distribuição binomial.
Provas
Questão presente nas seguintes provas
Uma amostra aleatória simples com reposição
foi retirada de uma grande população de alunos do ensino médio para avaliar suas expectativas acerca do ensino superior. Nessa amostra,
se o estudante j já se decidiu acerca de sua carreira profissional,
e se o estudante j ainda não se decidiu sobre esse assunto.
Com relação ao total amostral, julgue os itens a seguir, considerando que e que
.
De acordo com o Teorema Limite Central, Sn é um estimador não viciado da média populacional. Segundo esse teorema,
Com relação ao total amostral, julgue os itens a seguir, considerando que e que
De acordo com o Teorema Limite Central, Sn é um estimador não viciado da média populacional. Segundo esse teorema,
Provas
Questão presente nas seguintes provas
Um estudo para elaborar uma política pedagógica de um curso mostrou que P(A) = 0,4 e P(B) = 0,2, em que os eventos A = “um estudante abandonar esse curso” e B = “um estudante formar-se nesse curso no prazo de até 8 meses” são mutuamente excludentes.
Com base nessas informações e considerando que
e
sejam os eventos complementares correspondentes, julgue o item que se segue.
Se P
= P
= 0,5, então os eventos
e
serão independentes.
Com base nessas informações e considerando que
Se P
Provas
Questão presente nas seguintes provas
Um estudo para elaborar uma política pedagógica de um curso mostrou que P(A) = 0,4 e P(B) = 0,2, em que os eventos A = “um estudante abandonar esse curso” e B = “um estudante formar-se nesse curso no prazo de até 8 meses” são mutuamente excludentes.
Com base nessas informações e considerando que
e
sejam os eventos complementares correspondentes, julgue o item que se segue.
Os eventos
e
são mutuamente excludentes.
Com base nessas informações e considerando que
Os eventos
Provas
Questão presente nas seguintes provas
Cadernos
Caderno Container