Foram encontradas 60 questões.
No sistema ABO de classificação de grupos sanguíneos, há quatro grupos sanguíneos: A, B, AB e O.
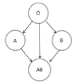
Considerando-se apenas a compatibilidade dos glóbulos vermelhos, característica desse sistema de classificação sanguínea, indivíduos com sangue de um determinado grupo sanguíneo podem doar para indivíduos do mesmo grupo. Além disso, a figura a seguir mostra a compatibilidade de glóbulos vermelhos entre doadores e receptores de grupos sanguíneos diferentes, onde as setas utilizadas partem de doadores e chegam a receptores.

Nas tabelas a seguir, cada S (sim) ou N (não) indica se um indivíduo do grupo sanguíneo da linha correspondente pode doar (S) ou não (N) sangue para um indivíduo do grupo sanguíneo da coluna correspondente.
A tabela que mostra corretamente as compatibilidade dos glóbulos vermelhos entre doadores e receptores é:
Provas
Considere a sequência infinita de letras que mantém sempre o mesmo padrão de repetição.
"D O E S A N G U E D O E S A N G U E D O E S A N G U E D O E S A N G U E..."
Nessa sequência, a posição 2013 é ocupada pela letra
Provas
Em um depósito há apenas bolsas de sangue dos tipos sanguíneos A e O armazenamento em sequência conforme sugerido a seguir:
A2572, A2573, A2574, ..., A2821
O1878, O1879, O1880, ..., O2013
Sabe-se que cada uma das duas sequências segue a ordem dos números naturais sem faltas ou multiplicidades.
A quantidade de bolsas se sangue nesse depósito é
Provas
Segundo o Estatuto da Fundação Pró-Sangue - Decreto Estadual n. 41628/97, assinale a alternativa que indica uma competência específica do Conselho Curador.
Provas
Relacione as expressões utilizadas pela Lei de Acesso à Informação - Lei Federal n. 12527/11, com suas respectivas definições.
1. Disponibilidade
2. Integridade
3. Primariedade
4. Autenticidade
( ) Qualidade da informação que tenha sido produzida, expedida, recebida ou modificada por determinado indivíduo, equipamento ou sistema.
( ) Qualidade da informação que pode ser conhecida e utilizada por indivíduos, equipamentos ou sistemas autorizados.
( ) Qualidade da informação coletada na fonte, com o máximo de detalhamento possível, sem modificações.
( ) Qualidade da informação não modificada, inclusive quanto à origem, trânsito e destino.
Assinale a alternativa que mostra a relação correta, de cima para baixo.
Provas
Texto 1
Até 73% dos erros cometidos em hospitais no país são evitáveis
Até 73% dos erros que acontecem dentro de hospitais brasileiros, como medicações trocadas ou operação de membros errados, poderiam ser evitados.
É o que apontam estudos da Fiocruz apresentados no QualiHosp (congresso de qualidade em serviços de saúde) e que ajudaram o Ministério da Saúde a criar novas normas de segurança hospitalar que passam a valer a partir de 2014.
As pesquisas, feitas em dois hospitais públicos do Rio, encontraram uma incidência média de 8,4% de eventos adversos, semelhante aos índices internacionais.
No Brasil, no entanto, é alto o índice de problemas evitáveis: de 66,7% a 73%. Em outros países, a incidência variou de 27% (França) a 51% (Austrália). Em números absolutos, isso significa que, em 2008, dos 11,1 milhões de internados no SUS, 563 mil foram vítimas de erros evitáveis.
Para Walter Mendes, pesquisador da Fiocruz e consultor do comitê do programa de segurança do paciente, embora haja limitações metodológicas ao extrapolar os resultados para o resto do país, os estudos indicam a magnitude do problema.
"É um quadro barra pesada. Nos países desenvolvidos, existem políticas de segurança bem consolidadas. Aqui estamos acordando com um pouco de atraso", diz ele.
(Cláudia Collucci. Folha de São Paulo, 29/07/2013.)
“...novas normas de segurança hospitalar que passam a valer a partir de 2014”.
Com a expressão “passam a valer a partir de 2014”, o autor quer mostrar que
Provas
Texto 1
Até 73% dos erros cometidos em hospitais no país são evitáveis
Até 73% dos erros que acontecem dentro de hospitais brasileiros, como medicações trocadas ou operação de membros errados, poderiam ser evitados.
É o que apontam estudos da Fiocruz apresentados no QualiHosp (congresso de qualidade em serviços de saúde) e que ajudaram o Ministério da Saúde a criar novas normas de segurança hospitalar que passam a valer a partir de 2014.
As pesquisas, feitas em dois hospitais públicos do Rio, encontraram uma incidência média de 8,4% de eventos adversos, semelhante aos índices internacionais.
No Brasil, no entanto, é alto o índice de problemas evitáveis: de 66,7% a 73%. Em outros países, a incidência variou de 27% (França) a 51% (Austrália). Em números absolutos, isso significa que, em 2008, dos 11,1 milhões de internados no SUS, 563 mil foram vítimas de erros evitáveis.
Para Walter Mendes, pesquisador da Fiocruz e consultor do comitê do programa de segurança do paciente, embora haja limitações metodológicas ao extrapolar os resultados para o resto do país, os estudos indicam a magnitude do problema.
"É um quadro barra pesada. Nos países desenvolvidos, existem políticas de segurança bem consolidadas. Aqui estamos acordando com um pouco de atraso", diz ele.
(Cláudia Collucci. Folha de São Paulo, 29/07/2013.)
“Para Walter Mendes, pesquisador da Fiocruz e consultor do comitê do programa de segurança do paciente, embora haja limitações metodológicas ao extrapolar os resultados para o resto do país, os estudos indicam a magnitude do problema”.
Nesse segmento do texto, o pesquisador aponta para uma possível falha da pesquisa, que é a
Provas
Analise as informações a seguir.

Analisando os dados onde acontecem eventos adversos, assinale a afirmativa correta.
Provas
Analise as informações a seguir.

Observando-se o gráfico, vê-se que o maior problema constatado, em relação ao Brasil, é que
Provas
Texto 1
Até 73% dos erros cometidos em hospitais no país são evitáveis
Até 73% dos erros que acontecem dentro de hospitais brasileiros, como medicações trocadas ou operação de membros errados, poderiam ser evitados.
É o que apontam estudos da Fiocruz apresentados no QualiHosp (congresso de qualidade em serviços de saúde) e que ajudaram o Ministério da Saúde a criar novas normas de segurança hospitalar que passam a valer a partir de 2014.
As pesquisas, feitas em dois hospitais públicos do Rio, encontraram uma incidência média de 8,4% de eventos adversos, semelhante aos índices internacionais.
No Brasil, no entanto, é alto o índice de problemas evitáveis: de 66,7% a 73%. Em outros países, a incidência variou de 27% (França) a 51% (Austrália). Em números absolutos, isso significa que, em 2008, dos 11,1 milhões de internados no SUS, 563 mil foram vítimas de erros evitáveis.
Para Walter Mendes, pesquisador da Fiocruz e consultor do comitê do programa de segurança do paciente, embora haja limitações metodológicas ao extrapolar os resultados para o resto do país, os estudos indicam a magnitude do problema.
"É um quadro barra pesada. Nos países desenvolvidos, existem políticas de segurança bem consolidadas. Aqui estamos acordando com um pouco de atraso", diz ele.
(Cláudia Collucci. Folha de São Paulo, 29/07/2013.)
A linguagem do pesquisador pode ser caracterizada como
Provas
Caderno Container