Foram encontradas 1.245 questões.
As barras de controle para impressão em cores são um dispositivo simples que permite conferir uma série de variáveis relativas aos filmes de seleção e aos próprios impressos. Uma de suas utilidades técnicas é verificar as sobreimpressões dos segmentos chapados em amarelo, magenta e cyan que indicam as tonalidades das cores secundárias e alguns possíveis fenômenos que resultam em manchas coloridas. Tais fenômenos são chamados de
Provas
O afinamento de pontos de um impresso que contém fotografias acontece quando os pontos mais finos das áreas de mínimas, altas luzes, sofrem redução ou desaparecem durante a impressão, resultando em perda do valor tonal. Isso pode ser evidenciado, comparando-se a última com a primeira folha impressa. Podem ser causas desse problema técnico:
I – tinta mal dispersa contendo partículas grosseiras e aglomeradas de pigmentos, com aspecto arenoso, que transfere mal e provoca abrasão e desgaste das chapas;
II – solução de molhagem excessivamente ácida (PH abaixo de 4) que ataca quimicamente a chapa;
III – eletricidade estática do papel que provoca a atração das folhas entre si;
IV – subexposição da chapa negativa ou superexposição da chapa positiva;
V – superaquecimento do papel que passa pelas máquinas impressoras, pois alguns papéis descolorem mais do que outros na mesma temperatura.
Estão corretas APENAS as causas
Provas
Às vezes, acontecem mudanças de tonalidades de uma mesma cor durante a impressão, sem que o impressor tenha modificado qualquer regulagem em relação ao acerto da impressora. Elas podem ser percebidas comparando- se várias folhas impressas em momentos diferentes da tiragem. Analise as afirmações abaixo, considerando que tal mudança de tonalidade pode ocorrer em função da(o)
I – tensão do papel insuficiente para garantir o registro perfeito.
II – tinta muito rígida que não é constantemente agitada no tinteiro ou que não tem sua rigidez reduzida com pasta amaciante.
III – baixa solidez do pigmento.
IV – papel pouco encorpado, fino, muito liso e com baixa resistência ao estiramento.
V – balanço da água-tinta incorretamente acertado, ocasionando emulsionamento progressivamente mais intenso.
Estão corretas APENAS as afirmações
Provas
O livro é um produto gráfico o qual possui uma anatomia que o distingue de outras peças. Qual das descrições abaixo corresponde a uma de suas estruturas?
Provas
Em artes gráficas, um original é qualquer tipo de imagem que se queira reproduzir por meio de processos de pré-impressão e de impressão. Podem se distinguir um dos outros de acordo com suas respectivas características.
Nesse contexto, relacione o tipo de original com sua respectiva descrição.
I – A traço
II – Opacos
III – Transparentes
IV – Tom contínuo
W – As imagens desses originais são fixadas sobre suporte como papel, cartão ou papelão, e a reprodução é feita a partir da reflexão seletiva da luz que incide sobre elas.
X – As imagens desses originais são reproduzidas a partir da transmissão seletiva da luz que as ilumina por projeção ou contato.
Y – As imagens não apresentam tonalidades intermediárias e são reproduzidas em alto contraste, ou reticuladas por conta da saturação máxima das cores a serem impressas.
Z – As imagens apresentam variada gama de cinzas ou, se forem coloridas, apresentam uma série de tonalidades intermediárias entre a cor do suporte e a saturação máxima das cores a serem impressas.
As associações corretas são
Provas
Os principais componentes dos caracteres são as hastes. Pode-se afirmar que sem as hastes eles não existiriam. As linhas que formam as hastes dos caracteres são: retas, quebradas, curvas e mistas.
Considerando essas informações, relacione o tipo de letra com a respectiva forma de haste.
I – Reta
II – Mista
III – Curva
IV – Quebrada
1 – I, L, E, F, H.
2 – A, V, W, K; z, y.
3 – O, Q, C, S; 0, 3,9.
4 – G, U, B, R; a, m, 5.
5 – W, U, B, H, 8.
As associações corretas são
Provas
O entrelinhamento na composição de textos significa aumentar o espaço no sentido vertical entre as linhas de um texto. Em algumas circunstâncias, a legibilidade depende disso. A composição que não leva nenhuma entrelinha e aquela na qual o espaço é subtraído chamam-se, respectivamente,
Provas
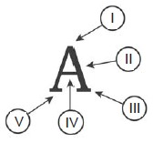
Entender a estrutura das letras ajuda o profissional gráfico a avaliar e sugerir escolhas tipológicas sem incorrer em erros comuns. Foi em meados de século XVIII que um estudioso, Francis Thibedeau, percebeu detalhes nos tipos que até hoje nos são úteis para avaliar e escolher caracteres para a mídia impressa. Nessa perspectiva, observe a ilustração e relacione-a aos itens à direita.

P – Ápice
Q – Vértice
R – Serifa
S – Trave
T – Base
U – Haste
A relação correta entre o detalhe da letra e a descrição de sua estrutura é
Provas
Qual é o nome do papel que tem como características básicas as cores suaves, a baixa gramatura (em torno de 30 g/m2), o acabamento alisado ou monolúcido e, geralmente, é utilizado em impressão de blocos que exigem um elevado número de vias?
Provas
Um produtor gráfico aposentado explicava para outro profissional novato a relação entre a qualidade e o peso do papel. Segundo sua explicação, a espessura de um papel, normalmente, é definida por seu peso (em gramas) por metro quadrado, ao que comumente se chama gramatura, e que o peso também é uma maneira de classificar o tipo de papel, como por exemplo, suporte com até 150 g/m2 é chamado de papel, apenas; de 150 g/m2 a 180 g/m2 é chamado de cartolina; a partir de 180 g/m2 é chamado de plus. Embora a explanação do profissional sobre a definição de gramatura esteja correta, a de suporte está equivocada, pois o suporte
Provas
Caderno Container