Foram encontradas 40 questões.
A acidez de compostos orgânicos pode ser prevista com base na análise estrutural das substâncias. Observe a estrutura de dois isômeros constitucionais: ácido salicílico e o ácido para-hidróxibenzoico. Era de se esperar que essas duas substâncias apresentassem o mesmo pKa, no entanto, eles são diferentes, conforme apresentado na figura a seguir:

Ácido salicílico - pKa= 3,0

Ácido para-hidróxibenzoico - pKa=4,6
Essa diferença no valor do pKa ocorre porque
Provas
A cinética da reação aA + bB + cC !$ \rightarrow !$ dD + eE foi estudada verificando-se a influência das concentrações dos reagentes sobre a velocidade da reação.
Analise os resultados obtidos na tabela a seguir.
| Experiência | Concentração (mol/L) | Velocidade (mol.L-1s-1) | ||
| [A] | [B] | [C] | ||
| 1 | a | b | c | v1 |
| 2 | 2a | b | c | v2 = 2 v1 |
| 3 | 2a | 2b | 2c | v3 = 2 v1 |
| 4 | a | b | 2c | v4 = v1/2 |
Os expoentes para as espécies A, B e C na lei de velocidade v = k[A]x[B]y[C]z são, respectivamente,
Provas
A estabilidade de carbocátions é um fator essencial para predizer o mecanismo de uma reação de substituição nucleofílica. Considere os carbocátions listados a seguir:

A ordem crescente de estabilidade desses carbocátions é
Provas
Amostras individuais com os cátions metálicos de Ca2+, Al3+, Fe3+ e Ti4+ são tratadas com amônia para formação de precipitado. Na sequência, é feita a adição de NaOH nas mesmas amostras, observando-se a solubilização dos sólidos de alumínio e de titânio.
A partir desses resultados, é correto afirmar que a adição de
Provas
Em um experimento para se determinar a pureza de uma peça de Mg impuro, uma amostra de 0,4 g foi submetida à reação com excesso de HCl à 27 °C. O gás produzido foi gerado dentro de um recipiente com água e coletado no interior de uma proveta embocada no líquido. Após a reação, o nível do líquido dentro da proveta foi igualado ao nível da água no recipiente e mediu-se o volume de 82 mL para o gás coletado.
Considere a pressão de vapor da água na temperatura do experimento igual a 36 mbar, a massa molar do Mg igual a 24 g/mol, a pressão atmosférica igual a 1,036 bar e que não houve escapamento do gás.
Qual é a pureza, em %, da amostra?
Provas
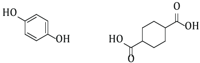
Os polímeros sintéticos são macromoléculas que apresentam várias aplicações e são úteis para a confecção de materiais de interesse. O Kodel® é um exemplo desse tipo de material e a sua estrutura está representada a seguir.

Kodel®
Os monômeros utilizados na síntese do Kodel® são
Provas
A energia de ionização é a energia mínima necessária para retirar um elétron de um átomo na fase gasosa.
As primeiras energias de ionização em kJ/mol de elementos químicos do terceiro período são mostradas a seguir.
| Na 496 | Mg 737 | Al 577 | Si 786 | P 1012 | S 999 | Cl 1255 | Ar 1521 |
A partir da análise dos dados, é possível afirmar que a primeira energia de ionização do
Provas
Um restaurante utiliza benzoato de sódio como conservante para gelatinas vendidas como sobremesa.
Para o preparo de 1 L de gelatina, utiliza-se 1 colher de sopa de benzoato de sódio (14,4 g), considerando-se que é utilizada água pura para o preparo do alimento e que a gelatina não altera o pH da água.
Dados:
MM NaC6H5COO = 144 g/mol;
Kb benzoato = 1,6 x10-10;
log 2 = 0,3.
Informe o pH do líquido obtido após a adição do benzoato de sódio.
Provas
Os álcoois são compostos orgânicos muito versáteis em um laboratório de sínteses orgânicas. O uso de reagentes contendo essa função orgânica varia desde o uso como solventes até mesmo como reagentes em importantes rotas de síntese.
Informe (V) para verdadeiro e (F) para falso sobre os compostos orgânicos que apresentam a função álcool nas afirmações seguintes.
( ) Um álcool primário, ao ser tratado com hidreto de sódio, pode formar um bom nucleófilo, chamado de íon alcóxido.
( ) Os álcoois são substâncias anfifílicas; isso faz com que todos sejam altamente solúveis em água.
( ) No preparo de um álcool por meio de reações de substituição, a partir de um substrato terciário, devem ser empregadas condições de reação SN1.
( ) Álcoois secundários e terciários podem ser oxidados, levando à formação de uma nova função orgânica, denominada cetona.
( ) Na identificação qualitativa de álcoois podemos utilizar o reagente de Jones, que reage com álcoois primários, secundários e terciários.
De acordo com as afirmações, a sequência correta é
Provas
De acordo com o diagrama dos níveis de energia dos orbitais moleculares para a molécula de F2, é correto afirmar que há
Provas
Caderno Container