Foram encontradas 400 questões.
Os distúrbios de personalidade são reconhecíveis por volta da adolescência ou antes e persistem ao longo da maior parte da vida adulta.
I - Os indivíduos com distúrbio de personalidade paranóide são afetivamente restritos e parecem não sentir emoções.
II - As pessoas com distúrbio da personalidade narcisista situam-se no limite entre a neurose e psicose e caracterizam-se por afeto, humor, comportamento, relações objetais e autoimagem instáveis.
III – As personalidades antissociais demonstram uma falta de ansiedade ou depressão que pode parecer grosseiramente incongruente com suas situações.
IV – O distúrbio da personalidade bordeline caracteriza-se por um senso aumentado de sua própria importância e sentimentos de grandiosidade de que, de alguma maneira, são únicos.
V – As pessoas com o distúrbio da personalidade sádica demonstram um padrão generalizado de comportamento cruel, humilhante e agressivo dirigido a outras pessoas.
As afirmações corretas são:
Provas
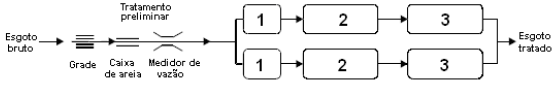
Considerando o esquema abaixo que representa um sistema de tratamento de esgoto sanitário por lagoas de estabilização, assinale a alternativa que apresenta corretamente os itens enumerados:

Provas
A carne do pescado apresenta atualmente um grande potencial de mercado, pois esse produto industrializado ou in natura pode atender as necessidades do consumidor em aspectos: nutricionais (rico em proteínas e ácidos graxos poliinsaturados); sensoriais (sabor agradável, suave e característico); conveniência (fácil preparo ou pré-pronto); e aspectos econômicos (com preços acessíveis). Abaixo, assinale a alternativa INCORRETA:
Provas
Em relação ao manejo reprodutivo é incorreto afirmar:
Provas
No que se refere ao psicodrama criado por Jacob-Levy Moreno (1892-1974):
I – Para o psicodrama de grupo a técnica de jogo se baseia em dois tempos: a) a mobilização do corpo, da palavra e sua utilização no curso do jogo; b) a interpretação, que incide sobre o conteúdo, continentes e as resistências.
II – Trata-se de uma técnica de jogo improvisado dentro de um grupo com fins de mudança para o indivíduo.
III – A sessão psicoterápica se desenrola em dois tempos: a ação dramática e a análise coletiva do jogo.
IV – Existem atualmente um psicodrama diretamente inspirado em Moreno, um psicodrama psicanalítico e o psicodrama triádico de Ancelin Schutzenberger (1992).
V - O psicodrama pressupõe que, em certas circunstâncias, a palavra é suficiente e que a encenação e a atuação do corpo são dispensáveis para engajar um processo psicoterápico.
É incorreto afirmar:
Provas
Para Bion, a função terapêutica nos grupos é:
Provas
TEXTO I
A sociedade da (in) comunicação e da (in) diferença
Houve um engano, segundo Gilles Lipovetsky: não estamos na pós-modernidade, mas na hipermodernidade. O primeiro termo que pautou as discussões durante anos era ambíguo e sugeria uma superação da modernidade pela pós-modernidade. O segundo termo, ao contrário, indica que a modernidade não acabou: chegou ao seu extremo. Aceleração total, velocidade máxima, sociedade do excesso. A fórmula encontrada pelo filósofo para caracterizar a hipermodernidade é simples e eficaz: o mais e o menos ao mesmo tempo. Nunca se buscou tanto a magreza e nunca se teve tantos obesos. Nunca houve tanta liberdade para expressão dos desejos e nunca houve tanta depressão. Nunca se buscou tanto o prazer e nunca se sofreu tanto por não se conseguir uma vida lúdica.
Nossa sociedade é dominada pelo imaginário da comunicação. Estamos na era da mídia e na midiatização da vida. As novas tecnologias invadem tudo e geram uma obsessão de interatividade. É preciso estar sempre conectado. Privado e público se confundem. Cada vez mais, cada um quer ser protagonista e contar sua vida num blog ou noutro mecanismo de exposição, o que antes era reservado à família, aos vizinhos e aos amigos.
(Juremir Machado da Silva – apresentação do livro “A Sociedade da Decepção” de Gilles Lipovetsky)
Observe as afirmativas abaixo:
I) A sociedade hipermoderna, segundo o texto, caracteriza-se pela forte presença de contrastes.
II) O texto defende a necessidade de estarmos sempre conectados.
III) O texto afirma que a hipermodernidade, nada mais é, do que a modernidade em sua plena extensão
IV) Segundo o texto, prazer e sofrimento não comungam do mesmo espaço nesse novo tipo de sociedade.
Analisando as afirmativas, é correto apenas o que se afirma em:
Provas
Nela, “cabe à autoridade tão-somente verificar, em cada caso concreto, se forma preenchidos os requisitos legais para determinada outorga administrativa e, em caso afirmativo, expedir o ato, sem possibilidade de recusa.” A explanação, in casu, é relativa ao ato administrativo da?
Provas
É dispensável a licitação, EXCETO:
Provas
O hidroximetilfurfural (HMF), no mel de abelha Apis, tem sido mencionado como um dos parâmetros de qualidade deste produto. É incorreto afirmar que:
Provas
Caderno Container