Foram encontradas 60 questões.
De acordo com a NBR-5410, nas instalações elétricas prediais residenciais e de hotéis e similares, devem ser previstas tomadas de correntes com as seguintes exigências mínimas, exceto: ( Assinale a alternativa incorreta.)
Provas
Nas instalações hidráulicas, a definição: “fenômeno decorrente da interrupção brusca do fluxo de um líquido em um conduto forçado”, refere-se à (ao)
Provas
A NOVA ONDA DO GURU
No seleto mundo da administração acadêmica, cada área tem seu guru-mor. Peter Drucker era o patrono da filosofia da administração; Michael Porter, o rei da estratégia. Se o assunto é marketing, porém, ninguém tem mais peso que o americano Philip Kotler, professor da escola de negócios Kellogg. Ele é autor do livro-texto lido por gerações de estudantes de marketing. Além dele, escreveu dezenas de obras, que versam sobre as mais variadas aplicações do marketing. Seu novo livro, que será lançado no Brasil em 3 de maio, Marketing 3.0, escrito em coautoria com Hermawan Kartajaya e Iwan Setiawan, faz uma mistura com cara de tabu: a combinação de marketing com práticas ligadas à responsabilidade social. A nova pregação de Kotler, claro, não é dirigida a ativistas sociais, mas a executivos. A mensagem é simples: num mundo cada vez mais rico e informado, as preocupações sociais e ambientais das pessoas estão cada vez mais relacionadas ao desejo de adquirir bens e serviços. De boa leitura, o livro desenvolve com eficiência os conceitos, estrutura as práticas e dá exemplos para se adaptar ao ambiente de negócios que está emergindo. Nele, abraçar causas sociais será uma condição necessária ao sucesso, assim como envolver nessa empreitada não só consumidores mas também funcionários, fornecedores e acionistas das empresas 3.0.
O título sugere um novo patamar a ser desbravado pelas empresas. O que o distingue dos anteriores? A primeira onda, o Marketing 1.0, foi centrada no desenvolvimento de produtos funcionais e na sua massificação. Em seguida, veio a versão 2.0, com ênfase em conhecer e satisfazer o consumidor por meio da segmentação de mercados. No estágio 3.0, é preciso reconhecer que "o consumidor é mais do que um simples comprador", escreve Kotler. Ele também tem preocupações coletivas, ambientais e aspira a uma sociedade melhor. A empresa que é sensível a essas inquietações tem clientes leais e marcas mais valiosas. São casos como o da Body Shop, fabricante de cosméticos, e o da Timberland, marca de calçados e acessórios para caminhadas e outras atividades esportivas. A primeira se destacou com seu programa de comércio justo, que dá preferência a pequenos produtores, artesãos e cooperativas rurais de países em desenvolvimento. A Timberland, por sua vez, mantém um programa em que seus funcionários usam parte do horário de trabalho para prestar serviços comunitários.
PEGURIER, Eduardo. Portal EXAME, 28.04.2010.
As contrações dele e nele, e o pronome ele garantem a coesão do texto na medida em que retomam respectivamente as ideias que podem ser articuladas como
Provas
A NOVA ONDA DO GURU
No seleto mundo da administração acadêmica, cada área tem seu guru-mor. Peter Drucker era o patrono da filosofia da administração; Michael Porter, o rei da estratégia. Se o assunto é marketing, porém, ninguém tem mais peso que o americano Philip Kotler, professor da escola de negócios Kellogg. Ele é autor do livro-texto lido por gerações de estudantes de marketing. Além dele, escreveu dezenas de obras, que versam sobre as mais variadas aplicações do marketing. Seu novo livro, que será lançado no Brasil em 3 de maio, Marketing 3.0, escrito em coautoria com Hermawan Kartajaya e Iwan Setiawan, faz uma mistura com cara de tabu: a combinação de marketing com práticas ligadas à responsabilidade social. A nova pregação de Kotler, claro, não é dirigida a ativistas sociais, mas a executivos. A mensagem é simples: num mundo cada vez mais rico e informado, as preocupações sociais e ambientais das pessoas estão cada vez mais relacionadas ao desejo de adquirir bens e serviços. De boa leitura, o livro desenvolve com eficiência os conceitos, estrutura as práticas e dá exemplos para se adaptar ao ambiente de negócios que está emergindo. Nele, abraçar causas sociais será uma condição necessária ao sucesso, assim como envolver nessa empreitada não só consumidores mas também funcionários, fornecedores e acionistas das empresas 3.0.
O título sugere um novo patamar a ser desbravado pelas empresas. O que o distingue dos anteriores? A primeira onda, o Marketing 1.0, foi centrada no desenvolvimento de produtos funcionais e na sua massificação. Em seguida, veio a versão 2.0, com ênfase em conhecer e satisfazer o consumidor por meio da segmentação de mercados. No estágio 3.0, é preciso reconhecer que "o consumidor é mais do que um simples comprador", escreve Kotler. Ele também tem preocupações coletivas, ambientais e aspira a uma sociedade melhor. A empresa que é sensível a essas inquietações tem clientes leais e marcas mais valiosas. São casos como o da Body Shop, fabricante de cosméticos, e o da Timberland, marca de calçados e acessórios para caminhadas e outras atividades esportivas. A primeira se destacou com seu programa de comércio justo, que dá preferência a pequenos produtores, artesãos e cooperativas rurais de países em desenvolvimento. A Timberland, por sua vez, mantém um programa em que seus funcionários usam parte do horário de trabalho para prestar serviços comunitários.
PEGURIER, Eduardo. Portal EXAME, 28.04.2010.
A expressão um novo patamar correlaciona-se mais coerentemente com o sentido de
Provas
A NOVA ONDA DO GURU
No seleto mundo da administração acadêmica, cada área tem seu guru-mor. Peter Drucker era o patrono da filosofia da administração; Michael Porter, o rei da estratégia. Se o assunto é marketing, porém, ninguém tem mais peso que o americano Philip Kotler, professor da escola de negócios Kellogg.(5) Ele é autor do livro-texto lido por gerações de estudantes de marketing. Além dele, escreveu dezenas de obras, que versam sobre as mais variadas aplicações do marketing. Seu novo livro, que será lançado no Brasil em 3 de maio, Marketing 3.0, escrito em coautoria com Hermawan Kartajaya e Iwan Setiawan, faz uma mistura com cara de tabu: a combinação de marketing com práticas ligadas à responsabilidade social(1). A nova pregação de Kotler, claro, não é dirigida a ativistas sociais, mas a executivos. A mensagem é simples: num mundo cada vez mais rico e informado, as preocupações sociais e ambientais das pessoas estão cada vez mais relacionadas ao desejo de adquirir bens e serviços(2). De boa leitura, o livro desenvolve com eficiência os conceitos, estrutura as práticas e dá exemplos para se adaptar ao ambiente de negócios que está emergindo.(3) Nele, abraçar causas sociais será uma condição necessária ao sucesso, assim como envolver nessa empreitada não só consumidores mas também funcionários, fornecedores e acionistas das empresas 3.0.(4)
O título sugere um novo patamar a ser desbravado pelas empresas. O que o distingue dos anteriores? A primeira onda, o Marketing 1.0, foi centrada no desenvolvimento de produtos funcionais e na sua massificação. Em seguida, veio a versão 2.0, com ênfase em conhecer e satisfazer o consumidor por meio da segmentação de mercados. No estágio 3.0, é preciso reconhecer que "o consumidor é mais do que um simples comprador", escreve Kotler. Ele também tem preocupações coletivas, ambientais e aspira a uma sociedade melhor. A empresa que é sensível a essas inquietações tem clientes leais e marcas mais valiosas. São casos como o da Body Shop, fabricante de cosméticos, e o da Timberland, marca de calçados e acessórios para caminhadas e outras atividades esportivas. A primeira se destacou com seu programa de comércio justo, que dá preferência a pequenos produtores, artesãos e cooperativas rurais de países em desenvolvimento. A Timberland, por sua vez, mantém um programa em que seus funcionários usam parte do horário de trabalho para prestar serviços comunitários.
PEGURIER, Eduardo. Portal EXAME, 28.04.2010.
Em se tratando de vírgula, analisando-se os termos por elas separados, podem-se associar:
(1) Seu novo livro, que será lançado no Brasil em 3 de maio, Marketing 3.0, escrito em coautoria com Hermawan Kartajaya e Iwan Setiawan, faz uma mistura com cara de tabu: a combinação de marketing com práticas ligadas à responsabilidade social.
(2) A nova pregação de Kotler, claro, não é dirigida a ativistas sociais, mas a executivos. A mensagem é simples: num mundo cada vez mais rico e informado, as preocupações sociais e ambientais das pessoas estão cada vez mais relacionadas ao desejo de adquirir bens e serviços.
(3) De boa leitura, o livro desenvolve com eficiência os conceitos, estrutura as práticas e dá exemplos para se adaptar ao ambiente de negócios que está emergindo.
(4) Nele, abraçar causas sociais será uma condição necessária ao sucesso, assim como envolver nessa empreitada não só consumidores mas também funcionários, fornecedores e acionistas das empresas 3.0.
(5) Peter Drucker era o patrono da filosofia da administração; Michael Porter, o rei da estratégia. Se o assunto é marketing, porém, ninguém tem mais peso que o americano Philip Kotler, professor da escola de negócios Kellogg.
( ) Oração adjetiva explicativa / aposto / oração reduzida, constituinte não imediata de termo da oração principal.
( ) Adjunto adverbial anteposto / coordenação por correlação / termos coordenados aditivos.
( ) Justaposição, intercalada, de um termo indicativo de um registro de fala / oração coordenada não aditiva / adjunto adverbial anteposto.
( ) Termo deslocado / orações coordenadas assindéticas.
( ) Elipse do verbo / oração adverbial anteposta / palavra de conexão discursiva / aposto.
A sequência numérica correspondente às associações corretas lê-se em
Provas
A figura abaixo representa uma viga de concreto com manifestação patológica típica de fissuras de flexão. O diagnóstico possível desta patologia pode ser:

Provas
A patologia carbonatação ocorre, sobretudo, pela porosidade elevada que possivelmente exista no concreto. A porosidade do concreto pode ser minimizada através de:
Provas

Provas
A NOVA ONDA DO GURU
No seleto mundo da administração acadêmica, cada área tem seu guru-mor. Peter Drucker era o patrono da filosofia da administração; Michael Porter, o rei da estratégia. Se o assunto é marketing, porém, ninguém tem mais peso que o americano Philip Kotler, professor da escola de negócios Kellogg. Ele é autor do livro-texto lido por gerações de estudantes de marketing. Além dele, escreveu dezenas de obras, que versam sobre as mais variadas aplicações do marketing. Seu novo livro, que será lançado no Brasil em 3 de maio, Marketing 3.0, escrito em coautoria com Hermawan Kartajaya e Iwan Setiawan, faz uma mistura com cara de tabu: a combinação de marketing com práticas ligadas à responsabilidade social. A nova pregação de Kotler, claro, não é dirigida a ativistas sociais, mas a executivos. A mensagem é simples: num mundo cada vez mais rico e informado, as preocupações sociais e ambientais das pessoas estão cada vez mais relacionadas ao desejo de adquirir bens e serviços. De boa leitura, o livro desenvolve com eficiência os conceitos, estrutura as práticas e dá exemplos para se adaptar ao ambiente de negócios que está emergindo. Nele, abraçar causas sociais será uma condição necessária ao sucesso, assim como envolver nessa empreitada não só consumidores mas também funcionários, fornecedores e acionistas das empresas 3.0.
O título sugere um novo patamar a ser desbravado pelas empresas. O que o distingue dos anteriores? A primeira onda, o Marketing 1.0, foi centrada no desenvolvimento de produtos funcionais e na sua massificação. Em seguida, veio a versão 2.0, com ênfase em conhecer e satisfazer o consumidor por meio da segmentação de mercados. No estágio 3.0, é preciso reconhecer que "o consumidor é mais do que um simples comprador", escreve Kotler. Ele também tem preocupações coletivas, ambientais e aspira a uma sociedade melhor. A empresa que é sensível a essas inquietações tem clientes leais e marcas mais valiosas. São casos como o da Body Shop, fabricante de cosméticos, e o da Timberland, marca de calçados e acessórios para caminhadas e outras atividades esportivas. A primeira se destacou com seu programa de comércio justo, que dá preferência a pequenos produtores, artesãos e cooperativas rurais de países em desenvolvimento. A Timberland, por sua vez, mantém um programa em que seus funcionários usam parte do horário de trabalho para prestar serviços comunitários.
PEGURIER, Eduardo. Portal EXAME, 28.04.2010.
Interpreta-se como o referencial ou assunto central do texto:
Provas
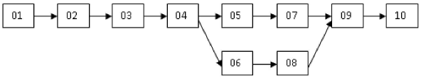
A rede de precedências das atividades do cronograma físico da questão anterior é representada no esquema abaixo:

O tempo de execução das atividades (caminho crítico), considerando o tempo em dias de cada atividade e rede de precedência acima, é de:
Provas
Caderno Container