Foram encontradas 919 questões.
- Banco de Dados RelacionalNormalização1FN: Primeira Forma Normal
- Banco de Dados RelacionalNormalização2FN: Segunda Forma Normal
- Banco de Dados RelacionalNormalização3FN: Terceira Forma Normal
A normalização de dados é o processo que permite a simplificação da estrutura de um banco de dados, de modo que ela se apresente em um estado timo, sem duplicação de informação. Com relação à normalização, analise as afirmativas a seguir:
I. Diz-se que uma relação está na 1FN quando não contém atributos multivalorados e não contém grupos repetitivos. O objetivo é eliminar a repetição de grupos de informação.
II. Diz-se que uma relação está na 2FN quando está na 1FN e todos os atributos não chave dependem funcionalmente da totalidade da chave. Na 2FN são eliminadas todas as dependências parciais de atributos não chave para com a chave primária.
III. Diz-se que uma relação está na 3FN quando está na 1FN e não obrigatoriamente na 2FN e todos os atributos não chave dependem funcionalmente uns dos outros. Na 3FN se uma relação obedecer a esta forma então todos os atributos são funcionalmente independentes da chave.
Assinale
Provas
- Banco de Dados RelacionalCardinalidade de Relacionamentos
- Modelagem de DadosDiagrama Entidade-Relacionamento (DER)
Com relação ao Modelo Entidade-Relacionamento (MER), utilizado na modelagem de bancos de dados relacionais, assinale V para a afirmativa verdadeira e F para a falsa.
( ) de acordo com a notação de Chen, um relacionamento corresponde a uma ligação lógica entre entidades e representado por um retângulo.
( ) as entidades são representadas por triângulos, dentro dos quais deve ser colocado o nome da entidade.
( ) cardinalidade é a relação entre o número de ocorrências de uma entidade, com as respectivas ocorrências na outra entidade com que tem o relacionamento.
As afirmativas são, respectivamente:
Provas
Modelagem de banco de dados é o processo de levantamento, análise, categorização e exploração de todos os dados e tipos de informações que irão sustentar uma aplicação. É uma etapa primordial no trabalho do desenvolvimento de sistemas, porque todo software é criado com determinados objetivos, para atender às necessidades dos usuários dentro deste cenário. A utilização do Modelo Entidades-Relacionamentos (MER) serve para o analista representar, graficamente, a forma como as entidades identificadas durante o processo de análise fazem parte do sistema de informações e como se relacionam. Nesse contexto, observe a figura abaixo, que representa um MER.

Esse MER mostra um relacionamento do seguinte tipo:
Provas
Na modelagem de BD são usados modelos lógicos de representação dos dados. Dois tipos desses modelos são descritos a seguir.
I. É um modelo que não evoluiu a partir das técnicas de processamento de arquivos e sim da teoria dos conjuntos, tendo como estrutura de dados a relação, definida como uma tabela constituída por linhas e colunas, na qual as colunas ou os campos representam ao atributos e as linhas os registros ou instância da relação.
II. É um dos primeiros modelos de BD com um SGBD associado e resulta da evolução dos sistemas de gerência de arquivos. É um modelo de representação lógica da estrutura de um BD, no qual os diagramas são compostos por caixas que correspondem a registros e linhas a links. Um BD deste tipo consiste de uma coleção de registros interligados hierárquicos entre si por meio de links, sendo os registros organizados como coleções de árvores
Os modelos descritos em I e II são denominados, respectivamente, como
Provas
- Conceitos e FundamentosConceitos Fundamentais de Banco de Dados
- Arquitetura de de Banco de DadosArquitetura ANSI/SPARCIndependência de Dados (Lógica e Física)
No contexto dos sistemas de bancos de dados, duas vantagens são caracterizadas a seguir.
I. Possibilita a eliminação de dados privativos de cada sistema. Os dados comuns a mais de um sistema são compartilhados, sendo mantida uma única informação a ser consultada e compartilhada por vários sistemas.
II. Possibilita o armazenamento da informação em um único local com acesso descentralizado, evitando ter um mesmo campo com valores distintos em sistemas diferentes.
As vantagens caracterizadas em I e II estão associadas, respectivamente, aos conceitos de
Provas
- Conceitos e FundamentosConceitos Fundamentais de Banco de Dados
- Conceitos e FundamentosFunções de um SGBD
O objetivo de um SGBD é garantir um ambiente apropriado para acessar e armazenar informações no BD, de forma confiável e eficiente, fornecendo aos usuários uma visão abstrata daquilo que gerencia, ao ocultar detalhes como a localização dos dados e o formato interno dos arquivo onde os dados são armazenados. Entre os requisitos de um SGBD, dois são descritos a seguir.
I. Manter os dados de forma consistente, mesmo após falhas de hardware ou erros de software
II. Manter os dados por longos períodos, independentemente das aplicações que as acessem.
Os requisitos em I e II são conhecidos, respectivamente, como
Provas
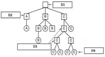
A figura abaixo ilustra um sistema hierárquico de diretórios.

Nessa figura, os termos DIRETÓRIO DE USUÁRIO, DIRETÓRIO RAIZ, ARQUIVOS DE USUÁRIO e SUBDIRETÓRIOS DE USUÁRIO correspondem aos componentes identificados, respectivamente, por:
Provas
No que diz respeito à organização, estrutura e operação de arquivos, a organização consiste no modo como os dados estão internamente armazenados, podendo sua estrutura variar em função do tipo de informação contida no arquivo. Em um dos tipos de organização de arquivos, ao invés de um índice é utilizada uma função, conhecida por hashing, que calcula o endereço do registro a partir do valor da chave do registro, além de possuir as características listadas a seguir.
• É eficiente no seu funcionamento.
• Permite a leitura/gravação de um registro diretamente na sua posição através do número do registro, que é a posição relativa ao início do arquivo.
• Não existe restrição à ordem em que os registros são lidos ou gravados, sendo sempre necessário especificar o número do registro.
• Possível apenas quando o arquivo é definido com registros de tamanho fixo.
Esse tipo de organização de arquivos é denominada
Provas
- Fundamentos de Sistemas OperacionaisArquitetura de Sistemas Operacionais
- Fundamentos de Sistemas OperacionaisChamadas de Sistema (System Calls)
- Fundamentos de Sistemas OperacionaisSubsistema de Entrada e Saída
- LinuxArmazenamento no LinuxVFS: Virtual File System
No que diz respeito à organização, estrutura, operação de arquivos e diretórios, os principais elementos que realizam a implementação de arquivos no sistema operacional estão organizados em camadas. Neste contexto, analise as afirmativas a seguir:
I. Camada Bibliotecas de entrada/saída – usa as chamadas de sistema da interface do núcleo para construir funções padronizadas de acesso a arquivos, para cada linguagem de programação.
II. Camada Alocação de arquivos – conjunto de interfaces e de chamadas de sistema oferecidas aos processos do espaço de usuários para a criação e manipulação de arquivos.
III. Camada Sistema de Arquivos Virtuais – tem por atribuição manter o registro de cada arquivo aberto pelos processos, como a posição da última operação no arquivo, o modo de abertura usado e o número de processos que estão usando o arquivo.
Assinale
Provas
Disciplina: TI - Organização e Arquitetura dos Computadores
Banca: IDECAN
Orgão: IF-CE
No que se refere à gerência dos dispositivos de entrada e saída nos sistemas operacionais, observe a figura abaixo.

Nessa figura, o SUBSISTEMA DE E/S, as OPERAÇÕES DE E/S e os DISPOSITIVOS DE E/S correspondem, respectivamente, aos componentes identificados como
Provas
Caderno Container