Foram encontradas 50 questões.
A gestão econômica baseada na técnica ABC (Activity Based Cost) é utilizada para tomar o custo de diversas atividades da empresa e compreender o seu comportamento. Marque, dentre as opções abaixo, aquela que NÃO apresenta uma etapa envolvida no ABC.
Provas
A gestão do conhecimento envolve técnicas que permitem, entre outras ações, identificar, desenvolver, disseminar e atualizar o conhecimento. A figura abaixo ilustra um modelo adaptado de Nonaka &Takeushi (1995, apud Batalha, 2008), que descreve a interação do conhecimento tácito com o explícito.

Com base no modelo da figura acima, afirma-se:
I – A socialização é resultado da interação direta do conhecimento tácito com o conhecimento explícito.
II – A Externalização é o resultado da interação do conhecimento tácito com o conhecimento explícito.
III - A Internalização é o resultado da interação do conhecimento explícito com o conhecimento explícito.
IV - A Combinação é o resultado da interação do conhecimento explícito com o conhecimento explícito.
São corretas as afirmativas
Provas
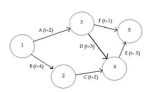
A figura abaixo ilustra uma rede PERT de um projeto, onde t é o tempo previsto. O caminho crítico, nesse caso, é composto pelas atividades

Provas
- PODC: Processo OrganizacionalProcesso Administrativo: PlanejamentoIntrodução ao Processo de Planejamento
Analise as afirmativas sobre o planejamento e o controle de longo, médio e curto prazos.
I – No planejamento e controle de curto prazo, usam-se previsões de demanda desagregadas, consideram-se, normalmente, os objetivos operacionais caso a caso e intervém-se para correção de desvios.
II – No planejamento e controle de médio prazo, utilizam-se previsões de demanda desagregadas parcialmente; seus objetivos são estabelecidos tanto em termos financeiros como em termos operacionais e determina, sempre que possível, recursos e contingências.
III – No planejamento e controle de longo prazo, os termos financeiros estabelecem, em grande medida, os objetivos.
Esse planejamento determina recursos e os utiliza de forma agregada. Está(ão) correta(s) a(s) afirmação(ões)
Provas
- PODC: Processo OrganizacionalProcesso Administrativo: PlanejamentoIntrodução ao Processo de Planejamento
Com relação ao planejamento e ao controle de uma operação produtiva, podemos afirmar que
Provas
A implantação de uma filosofia de processo Just in time permite atender à demanda de forma diferenciada. Para esse tipo de processo, exigem-se, exceto
Provas
Um dos métodos utilizados para avaliação de desempenho em produção e em operações é o denominado BSC (Balanced ScoreCard), que
Provas
Com relação aos métodos de melhoramento da produção, julgue cada uma das assertivas abaixo em Verdadeira (V) ou Falsa (F). Em seguida, marque a opção que corresponde à sequência obtida nos parênteses.
( ) Benchmarking pode ser utilizado para estabelecer padrões de desempenho.
( ) O ciclo PDCA (planejar, fazer, checar e agir) envolve uma ação corretiva no planejamento do processo, sem modificar a padronização deste.
( ) Os diagramas de Pareto são utilizados para classificar as falhas da produção.
( ) Os diagramas de causa e efeito (ou diagramas de “espinha de peixe”, ou diagramas de Ishikawa) são utilizados para classificar os problemas de falhas de produção.
Provas
Analise as afirmativas a seguir.
I – Diagramas de processo têm como objetivo listar as fases do processo com simplicidade de visualização e podem ser utilizados como ferramenta para a qualidade.
II – A análise de Pareto pode ser utilizada para classificar problemas com vistas à melhoria da qualidade.
III – Os diagramas de causa e efeito (ou diagramas de Ishikawa) são, sempre, utilizados antes de uma análise de Pareto.
Está CORRETO o que se afirma em
Provas
Avalie as afirmativas a seguir e marque a opção INCORRETA.
Provas
Caderno Container