Foram encontradas 440 questões.
Provas
Provas
Provas
Provas
Provas
Provas
Um grupo de estudantes do IFPA precisa fazer uma atividade de campo que durará 5 dias seguidos e estão preocupados com a possibilidade de chover. Assim, com intuito de tentar prever o clima, os alunos fizeram um grande número de registros. Desta forma, determinaram que a probabilidade de um dia chuvoso seguido por um dia ensolarado é de 2/3 , e a probabilidade de um dia chuvoso seguido por outro dia chuvoso é de 1/2 . Dessa maneira, obtiveram a seguinte tabela de probabilidades:

A partir da informação da probabilidade de um dia, os alunos verificaram que é possível estimar
se um dia n será chuvoso ou ensolarado através da tabela de probabilidades, chamada de matriz
de transição T2x2 . Para isso, é necessário saber o estado inicial. Supondo que o dia 0 (um dia
antes do 1º dia da atividade de campo) está chuvoso, ou seja, o estado inicial é x(0) =
, então o
dia da atividade de campo que possui a maior probabilidade de chover é:
Provas
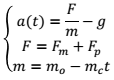
No projeto educacional CENASTRO (Centro de Astronomia do IFPA), os alunos tiveram a curiosidade de encontrar a velocidade de um foguete após alguns segundos de seu lançamento. Para isso, fizeram as considerações iniciais:
• A resistência do ar é desconsiderada;
• O movimento é regido pela 2ª lei de Newton (F = ma);
• A força (Fm) dos motores principais e a força (FP) dos propulsores de combustível são constantes;
• O foguete tem massa inicial mo;
• A massa (mc) do combustível reduz proporcionalmente com o tempo (t).
Traduzindo, matematicamente:

Sabendo que a função velocidade v(t) é a antiderivação da função aceleração a(t) e que a velocidade do foguete no instante t = 0 é zero, então:
Provas
Um paraquedista, a uma certa altura, tem a probabilidade de cair em uma região circular com 2km de raio. Sabendo que no centro da região circular passa um rio de 200 m de largura, a probabilidade do paraquedista não cair no rio é aproximadamente de:

Provas
Provas
Caderno Container