Foram encontradas 70 questões.
O rendimento semestral global dos estudantes de uma
instituição de ensino é uma variável aleatória normalmente distribuída com média e variância desconhecidas. Para
testar a hipótese bilateral de que a média populacional é
igual ou diferente de 80, foi construído um intervalo apropriado com 95% de confiança a partir de uma amostra de
16 estudantes. Considerando que o intervalo obtido é
[76,8; 80,5], a distribuição utilizada para a construção do
intervalo e a conclusão do teste de hipóteses são, respectivamente:
Provas
Questão presente nas seguintes provas
Em uma universidade, o curso de Matemática é ofertado
nas modalidades presencial diurno, presencial noturno e
híbrido. Do total de alunos do curso, 40% estão matriculados na modalidade presencial diurno e 35% estão matriculados na modalidade presencial noturno. Além disso, dos
alunos de Matemática matriculados na modalidade presencial diurno, 7% não reprovaram em nenhuma disciplina
do curso, enquanto que para os alunos das modalidades
presencial noturno e híbrido essa porcentagem é 6% e 4%,
respectivamente. Considerando que os alunos do curso de
Matemática dessa universidade podem se matricular em
apenas uma modalidade de ensino, qual a probabilidade
de selecionar um aluno de Matemática que reprovou em
pelo menos uma disciplina no curso?
Provas
Questão presente nas seguintes provas
Considere que um índice de desempenho acadêmico de
120 estudantes de uma instituição foi construído através
da análise de componentes principais, tomando como base
os valores das suas notas em quatro disciplinas X = (X
1
, X
2
,
X
3
, X
4
). Os autovalores extraídos da matriz de covariâncias
foram, respectivamente, iguais a 13, 4, 2, 1 e o primeiro
autovetor normalizado foi e1 = (0,5; 0,2; 0,5; 0,7). O percentual de explicação da primeira componente principal e
o valor do índice de desempenho de um estudante com
notas X = (60, 70, 85, 80) são, respectivamente:
Provas
Questão presente nas seguintes provas
O reitor de determinado Instituto Federal de Educação instaurou algumas políticas governamentais no primeiro ano
de seu mandato. Com o objetivo de avaliar o grau de satisfação dos professores com respeito a essas políticas, um
questionário foi aplicado e, para a análise dos dados, a variável de interesse foi codificada da seguinte maneira:
• 0 = Discordo totalmente
• 1 = Discordo
• 2 = Neutro
• 3 = Concordo
• 4 = Concordo totalmente
A variável de interesse é classificada como
• 0 = Discordo totalmente
• 1 = Discordo
• 2 = Neutro
• 3 = Concordo
• 4 = Concordo totalmente
A variável de interesse é classificada como
Provas
Questão presente nas seguintes provas
Dentre os diversos testes estatísticos utilizados na análise
de resíduos de um modelo de regressão linear múltipla, encontra-se o Teste de
Levene
. Sobre esse teste, analise as afirmativas a seguir.
I. É utilizado para testar a homocedasticidade das variâncias dos erros.
II. A rejeição da hipótese nula do teste é baseada na distribuição F.
III. Antes de realizar testes paramétricos, como o teste t de Student , ele é usado para garantir que as suposições subjacentes desses testes estão sendo atendidas.
Está correto o que se afirma em
I. É utilizado para testar a homocedasticidade das variâncias dos erros.
II. A rejeição da hipótese nula do teste é baseada na distribuição F.
III. Antes de realizar testes paramétricos, como o teste t de Student , ele é usado para garantir que as suposições subjacentes desses testes estão sendo atendidas.
Está correto o que se afirma em
Provas
Questão presente nas seguintes provas
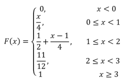
Suponha que a variável aleatória X represente o tempo de
falha, em mil horas, de um projetor multimídia. A função
distribuição de probabilidade da variável X é dada por:
Qual a probabilidade do tempo de falha desse projetor estar entre 500 e 1.500 horas?
Qual a probabilidade do tempo de falha desse projetor estar entre 500 e 1.500 horas?
Provas
Questão presente nas seguintes provas
Uma pesquisa foi conduzida em uma instituição de ensino
para avaliar o processo de deslocamento dos alunos desde
suas respectivas residências até a instituição. Ao analisar a
variável “tempo de deslocamento em minutos”, o estatístico da instituição notou que ela possui uma distribuição
unimodal e, para um melhor diagnóstico da forma da distribuição, ele recorreu a medidas de assimetria e curtose.
Sobre essas medidas, assinale a afirmativa correta.
Provas
Questão presente nas seguintes provas
Na sala de espera da reitoria de uma instituição de ensino, encontram-se 20 estudantes de Engenharia. Cada estudante cursa
um dos 4 cursos de Engenharia disponíveis na instituição. Qual a probabilidade dos três primeiros estudantes a serem
atendidos fazerem cursos de Engenharia distintos?
Provas
Questão presente nas seguintes provas
A fração do curso concluído pelos estudantes de Matemática Computacional de uma universidade é representada por uma
variável aleatória X, cuja função densidade de probabilidade é dada por:
Se o valor esperado de X é 3/5 , os valores de a e b são, respectivamente:
Se o valor esperado de X é 3/5 , os valores de a e b são, respectivamente:
Provas
Questão presente nas seguintes provas
O modelo de um experimento fatorial com dois fatores num delineamento inteiramente casualizado com n repetições podeser escrito como:
em que:
• y ijk é a resposta da k-ésima repetição do i-ésimo nível do fator A e j-ésimo nível do fator B;
• μ é uma constante comum a todas as observações;
• A i é o efeito do i-ésimo nível do fator A;
• B j é o efeito da j-ésimo nível do fator B;
• AB ij é o efeito da interação entre o i-ésimo nível do fator A e j-ésimo nível do fator B; e,
• ξ ijk é o erro associado à resposta y ijk , de modo que ξ ijk ~ N(0; σ 2 ).
Ao construir uma tabela de análise de variância para que seja feita a inferência no modelo, o número de graus de liberdadeassociado à soma de quadrados da interação é:
em que:
• y ijk é a resposta da k-ésima repetição do i-ésimo nível do fator A e j-ésimo nível do fator B;
• μ é uma constante comum a todas as observações;
• A i é o efeito do i-ésimo nível do fator A;
• B j é o efeito da j-ésimo nível do fator B;
• AB ij é o efeito da interação entre o i-ésimo nível do fator A e j-ésimo nível do fator B; e,
• ξ ijk é o erro associado à resposta y ijk , de modo que ξ ijk ~ N(0; σ 2 ).
Ao construir uma tabela de análise de variância para que seja feita a inferência no modelo, o número de graus de liberdadeassociado à soma de quadrados da interação é:
Provas
Questão presente nas seguintes provas
Cadernos
Caderno Container