Foram encontradas 30 questões.
Considerar estes valores quando necessário:
√2 = 1,41
√3 = 1,73
\( s \)\( e \)\( n \)(30°) = 1/2
\( s \)\( e \)\( n \)(45°) = √2/2
\( s \)\( e \)\( n \)(60°) = √3/2
\( \pi \) = 3,14
\( c \)\( o \)\( s \)(30°) = √3/2
\( c \)\( o \)\( s \)(45°) = √2/2
\( c \)\( o \)\( s \)(60°) = 1/2
O diodo zener é um componente discreto comumente utilizado como um regulador de tensão CC (corrente contínua) simples. A figura a seguir apresenta um circuito simplificado que utiliza um diodo zener “Z1”, cujo Vz = 10 V, em paralelo com o resistor “RL”. O circuito é alimentado por uma fonte de tensão CC variável “V1”, cujos valores possíveis estão compreendidos entre 5 V e 15 V.

Fonte: FUNCERN, 2025.
Com a variação da fonte, as potências mínima e máxima dissipadas no resistor RL serão, respectivamente,
Provas
Considerar estes valores quando necessário:
√2 = 1,41
√3 = 1,73
\( s \)\( e \)\( n \)(30°) = 1/2
\( s \)\( e \)\( n \)(45°) = √2/2
\( s \)\( e \)\( n \)(60°) = √3/2
\( \pi \) = 3,14
\( c \)\( o \)\( s \)(30°) = √3/2
\( c \)\( o \)\( s \)(45°) = √2/2
\( c \)\( o \)\( s \)(60°) = 1/2
Um motor trifásico de indução de 6 polos é alimentado à rede elétrica de 60 Hz. Ao funcionar em sua plena carga (nominal), foi verificado, com um tacômetro, que seu rotor estava com uma velocidade de 1140 rotações por minuto. O escorregamento dessa máquina é, portanto, igual a
Provas
Considerar estes valores quando necessário:
√2 = 1,41
√3 = 1,73
\( s \)\( e \)\( n \)(30°) = 1/2
\( s \)\( e \)\( n \)(45°) = √2/2
\( s \)\( e \)\( n \)(60°) = √3/2
\( \pi \) = 3,14
\( c \)\( o \)\( s \)(30°) = √3/2
\( c \)\( o \)\( s \)(45°) = √2/2
\( c \)\( o \)\( s \)(60°) = 1/2
Os microcontroladores AVR são amplamente utilizados em sistemas embarcados. Na arquitetura interna desses microcontroladores, é utilizada a arquitetura
Provas
Considerar estes valores quando necessário:
√2 = 1,41
√3 = 1,73
\( s \)\( e \)\( n \)(30°) = 1/2
\( s \)\( e \)\( n \)(45°) = √2/2
\( s \)\( e \)\( n \)(60°) = √3/2
\( \pi \) = 3,14
\( c \)\( o \)\( s \)(30°) = √3/2
\( c \)\( o \)\( s \)(45°) = √2/2
\( c \)\( o \)\( s \)(60°) = 1/2
A NBR 5410 estabelece critérios para o dimensionamento dos eletrodutos em instalações elétricas de baixa tensão, levando em conta a quantidade de cabos ou condutores presentes em seu interior. O objetivo é garantir que a taxa de ocupação não ultrapasse um limite de segurança, evitando aquecimento excessivo e facilitando a instalação. De acordo com essa norma, quando há três ou mais cabos ou fios no interior de um eletroduto, a área transversal livre do eletroduto deve ser de, pelo menos,
Provas
Considerar estes valores quando necessário:
√2 = 1,41
√3 = 1,73
\( s \)\( e \)\( n \)(30°) = 1/2
\( s \)\( e \)\( n \)(45°) = √2/2
\( s \)\( e \)\( n \)(60°) = √3/2
\( \pi \) = 3,14
\( c \)\( o \)\( s \)(30°) = √3/2
\( c \)\( o \)\( s \)(45°) = √2/2
\( c \)\( o \)\( s \)(60°) = 1/2
A NBR 5410 define os esquemas de aterramento em seu subitem 4.2.2.2. De acordo com a norma, a configuração de aterramento, no qual o ponto de alimentação e as massas das cargas da instalação estão aterradas por malhas ou hastes eletricamente distintas, é denominado de esquema
Provas
Considerar estes valores quando necessário:
√2 = 1,41
√3 = 1,73
\( s \)\( e \)\( n \)(30°) = 1/2
\( s \)\( e \)\( n \)(45°) = √2/2
\( s \)\( e \)\( n \)(60°) = √3/2
\( \pi \) = 3,14
\( c \)\( o \)\( s \)(30°) = √3/2
\( c \)\( o \)\( s \)(45°) = √2/2
\( c \)\( o \)\( s \)(60°) = 1/2
Um microcontrolador da família PIC 18 utiliza seu módulo CCP para gerar um sinal PWM. Apresenta uma Frequência de Clock do sistema de 4 MHz, com um Prescaler de 1:16. Segundo o datasheet do fabricante, o período do PWM pode ser calculado por
\( T \)\( P \)\( W \)\( M \) = (\( P \)\( R \)2 + 1) ∗ 4 ∗ \( P \)\( r \)\( e \)\( s \)\( c \)\( a \)\( l \)\( e \)\( r \) ∗ \( T \)\( O \)\( S \)\( C \)
Assim, se a frequência do PWM desejada é 50 Hz, o valor de PR2 é igual a
Provas
Considerar estes valores quando necessário:
√2 = 1,41
√3 = 1,73
\( s \)\( e \)\( n \)(30°) = 1/2
\( s \)\( e \)\( n \)(45°) = √2/2
\( s \)\( e \)\( n \)(60°) = √3/2
\( \pi \) = 3,14
\( c \)\( o \)\( s \)(30°) = √3/2
\( c \)\( o \)\( s \)(45°) = √2/2
\( c \)\( o \)\( s \)(60°) = 1/2
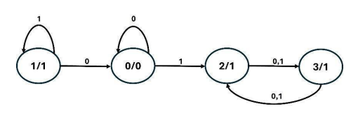
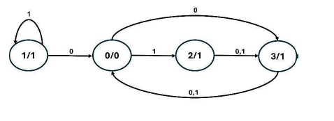
Uma rede sequencial de entrada “\( x \)” e saída “\( z \)” possui dois flip-flops do tipo JK (A e B). As funções de entrada dos flip-flops são descritas a seguir.
\( J \)\( A \) = \( x \)\( Q \)'\( B \) \( K \)\( A \) = \( Q \)\( B \)
\( J \)\( B \) = \( Q \)\( A \) \( K \)\( B \) = \( x \)'\( Q \)'\( A \)
A saída “\( z \)” é definida por:
\( z \) = \( Q \)\( A \) + \( Q \)\( B \)
O diagrama de estados dessa rede sequencial está corretamente representado na opção
Provas
Considerar estes valores quando necessário:
√2 = 1,41
√3 = 1,73
\( s \)\( e \)\( n \)(30°) = 1/2
\( s \)\( e \)\( n \)(45°) = √2/2
\( s \)\( e \)\( n \)(60°) = √3/2
\( \pi \) = 3,14
\( c \)\( o \)\( s \)(30°) = √3/2
\( c \)\( o \)\( s \)(45°) = √2/2
\( c \)\( o \)\( s \)(60°) = 1/2
Um circuito com amplificadores operacionais necessita de uma alimentação por fonte simétrica de ±15 V. Uma fonte ajustável de bancada dupla com saídas isoladas é utilizada para fornecer as tensões a esse circuito. Com relação ao procedimento de configuração dos terminais da fonte, é necessário
Provas
Considerar estes valores quando necessário:
√2 = 1,41
√3 = 1,73
\( s \)\( e \)\( n \)(30°) = 1/2
\( s \)\( e \)\( n \)(45°) = √2/2
\( s \)\( e \)\( n \)(60°) = √3/2
\( \pi \) = 3,14
\( c \)\( o \)\( s \)(30°) = √3/2
\( c \)\( o \)\( s \)(45°) = √2/2
\( c \)\( o \)\( s \)(60°) = 1/2
Um conversor analógico-digital do tipo rampa digital possui frequência de clock de 500 kHz, \( V \)\( T \) = 0,1 \( m \)\( V \), saída do fundo de escala do DAC de 10,20 V e entrada de 8 bits. Para uma tensão de entrada de 7,75 V, o tempo necessário para realizar a conversão será
Provas
Considerar estes valores quando necessário:
√2 = 1,41
√3 = 1,73
\( s \)\( e \)\( n \)(30°) = 1/2
\( s \)\( e \)\( n \)(45°) = √2/2
\( s \)\( e \)\( n \)(60°) = √3/2
\( \pi \) = 3,14
\( c \)\( o \)\( s \)(30°) = √3/2
\( c \)\( o \)\( s \)(45°) = √2/2
\( c \)\( o \)\( s \)(60°) = 1/2
O ciclo de varredura é um processo fundamental em PLCs (Programmable Logic Controller). Nesse ciclo,
Provas
Caderno Container