Foram encontradas 40 questões.
Dada uma função real y=f(x) e um número real c, sobre as transformações que
ocorrem no gráfico da função, analise as assertivas abaixo e assinale a alternativa correta.
I. Somar uma constante c à variável independente x de uma função f tem efeito geométrico de transladar o gráfico de f horizontalmente para direita quando c>0 ou para esquerda quando c<0.
II. Somar uma constante c a uma função f tem o efeito geométrico de transladar o gráfico de f verticalmente para cima quando c>0 ou verticalmente para baixo quando c<0.
III. Multiplicar a variável independente x de uma função f por uma constante c não negativa tem o efeito geométrico de alongar horizontalmente o gráfico de f, quando c>1.
I. Somar uma constante c à variável independente x de uma função f tem efeito geométrico de transladar o gráfico de f horizontalmente para direita quando c>0 ou para esquerda quando c<0.
II. Somar uma constante c a uma função f tem o efeito geométrico de transladar o gráfico de f verticalmente para cima quando c>0 ou verticalmente para baixo quando c<0.
III. Multiplicar a variável independente x de uma função f por uma constante c não negativa tem o efeito geométrico de alongar horizontalmente o gráfico de f, quando c>1.
Provas
Questão presente nas seguintes provas
Qual é o comprimento de arco da curva
no intervalo 0 ≤ t ≤ 2π?
Provas
Questão presente nas seguintes provas
Considere a função de duas variáveis reais f (x,n) = 2x 3y + 4xln(y). Qual é o valor
de fyx (0, -2)?
Provas
Questão presente nas seguintes provas
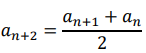
Considere a sequência (an) definida pela expressão abaixo:
Considere n ∈ N e que a1 = −8 e a2 = 16. Qual é o termo geral da sequência?
Considere n ∈ N e que a1 = −8 e a2 = 16. Qual é o termo geral da sequência?
Provas
Questão presente nas seguintes provas
Relacione a Coluna 1 à Coluna 2, associando a função definida no intervalo [0,2π] ao seu gráfico.
Coluna 1
1. f (x) = sen(3x)
2. f (x) = sen(3 + x)
3. f (x) = 3sen(x)
Coluna 2

A ordem correta de preenchimento dos parênteses, de cima para baixo, é:
Coluna 1
1. f (x) = sen(3x)
2. f (x) = sen(3 + x)
3. f (x) = 3sen(x)
Coluna 2

A ordem correta de preenchimento dos parênteses, de cima para baixo, é:
Provas
Questão presente nas seguintes provas
Em 2020, Marcos comprou um automóvel fabricado em 2018 e pagou R$50.000,00.
Sabendo que o modelo do automóvel comprado por Marcos sofre uma depreciação anual de 10%,
qual era o valor (em R$) do veículo no ano de fabricação?
Provas
Questão presente nas seguintes provas
- FundamentosPotenciação e RadiciaçãoRadiciação
- FundamentosPotenciação e RadiciaçãoPotenciação
- Álgebra
- GeometriaGeometria AnalíticaPontos, Retas e Planos
Em Baku, no Azerbaijão, uma bandeira foi hasteada em um mastro, reconhecido pelo
Guinness, o livro dos recordes, como o mastro de bandeira mais alto do mundo. Esse mastro está
localizado em cima de uma estrutura de concreto plana e horizontal. Sobre essa estrutura, há dois
pontos, A e B, distantes 190,6 m um do outro e pertencentes a uma mesma semirreta de origem na
base do mastro. Do ponto A, vê-se o ponto P mais alto do mastro, sob um ângulo de 30° com o plano
da estrutura de concreto. Do ponto B, vê-se P sob um ângulo de 60° com o plano da mesma estrutura.
Qual é a altura aproximada do mastro (em m)? Considere
= 1,7.
Provas
Questão presente nas seguintes provas
A figura a seguir ilustra um hexágono regular inscrito em um círculo. O apótema do hexágono mede
. Qual é a área (em cm2) da parte sombreada?


Provas
Questão presente nas seguintes provas
Segundo Valente (2018), as metodologias ativas consistem em uma série de
técnicas, procedimentos e processos utilizados pelos professores, durante as aulas, a fim de auxiliar
a aprendizagem dos alunos. O fato de elas serem ativas está relacionado com a realização de
práticas pedagógicas para envolver os alunos, engajá-los em atividades práticas nas quais eles
sejam protagonistas da sua aprendizagem. Assinale a alternativa que NÃO apresenta uma
metodologia ativa.
Provas
Questão presente nas seguintes provas
De acordo com os estudos de Luckesi (2022), avaliar é o ato de diagnosticar uma
experiência tendo em vista reorientá-la para produzir o melhor resultado possível. Nesse contexto, a
avaliação não é classificatória nem seletiva, e sim:
Provas
Questão presente nas seguintes provas
Cadernos
Caderno Container