Foram encontradas 40 questões.
Consiste na separação de uma espécie química que se apresenta dissolvida em determinado solvente, através do contato dessa solução com outro solvente. O soluto distribui-se entre as fases proporcionalmente à afinidade que apresenta com cada uma delas. A que se refere o conceito supracitado? Assinale a alternativa que responde CORRETAMENTE à questão acima.
Provas
Julgue o acerto das afirmações que seguem em relação ao tipo e intensidade das forças intermoleculares.
I. O Hélio possui maior ponto de fusão que o Argônio, pois o Argônio é maior, com mais elétrons, o que leva a forças de London mais forte, diminuindo o ponto de fusão.
II. A pressão de vapor do dietil-éter é maior do que a da água, pois as ligações de hidrogênio da água fazem com que as moléculas fiquem mais presas umas com as outras do que o dietil-éter.
III. O ponto de ebulição do pentano é menor do que do 2,2 dimetil-propano. Ambas têm a mesma massa molecular, mas o pentano é uma molécula linear e o 2,2-dimetil-propano é uma molécula mais compacta. Isso dá ao 2,2 dimetil-propano forças atrativas intermoleculares do tipo London mais fortes.
IV. A molécula de o-dibromo-benzeno é polar, pois os dipolos das duas ligações C-Br não se cancelam. Portanto, pode-se predizer um ponto de ebulição maior para o o-dibromobenzeno do que para o p-dibromo-benzeno.
Assinale a alternativa que contém somente as afirmações CORRETAS.
Provas
Considerando a reação de combustão do etanol, !$ C_2 H_5 OH_{(I)} + 3\,\,O_{2(g)} \rightarrow 2\,CO_{2(g)}+ 3\,H_2O_{(g)} !$ com !$ \triangle H = - 1373 KJ !$, assinale a alternativa CORRETA.
Dado: massa molar do etanol = 46 g.mol–1
Provas
O bicarbonato de sódio pode ser decomposto como mostra a reação:
!$ 2\,\,NaHCO_{3(s)} \overset { \triangle} {\longrightarrow} Na_2CO_{3(s)} + H_2 O_{(g)} + CO_{2(g)} !$
Qual a denominação mais adequada para a reação descrita?
Assinale a alternativa que responde CORRETAMENTE à questão acima.
Provas
Os compostos a seguir possuem características diferentes. Associe a segunda coluna com a primeira.
(1) KHCO3
(2) BaO
(3) ZnO
(4) SO2
(5) NO
( ) óxido ácido
( ) óxido básico
( ) óxido neutro
( ) óxido anfótero
( ) sal
Assinale a alternativa que contém a ordem CORRETA de associação, de cima para baixo.
Provas
Para quantificar um comprimido de fluoxetina, medicamento ansiolítico que atua no sistema nervoso central, o técnico em química possuía apenas uma coluna cromatográfica de fase reversa (apolar) disponível e selecionou como fase móvel, o acetato de etila.
Nesse contexto, avalie as asserções que seguem.
Substâncias apolares do comprimido eluíram mais rapidamente que substâncias polares
PORQUE
os compostos polares possuem maiores interações com a fase móvel.
Assinale a alternativa CORRETA.
Provas
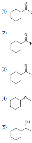
Sobre as funções orgânicas, associe corretamente a coluna da direita com a da esquerda.

( ) cetona
( ) álcool
( ) aldeído
( ) éster
( ) éter
Assinale a alternativa que contém a ordem CORRETA de associação, de cima para baixo.
Provas
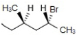
Sobre o composto (2S,4R)-2-bromo-4-metil-hexano, marque as afirmações a seguir como verdadeiras (V) ou falsas (F).
( ) A fórmula estrutural do composto é 
( ) É formado pela reação entre HBr e (R)-4-metil-1-hexeno.
( ) É um composto opticamente ativo.
( ) O composto 2-bromo-4-metil-hexano possui 1 centro quiral e, portanto, outro estereoisômero.
Assinale a alternativa que apresenta a sequência CORRETA de cima para baixo.
Provas
Marque as sentenças verdadeiras com (V) e as falsas com (F), sobre o diagrama de mudança de estado físico.

( ) Ao fornecermos calor a uma substância pura sólida e colocarmos as informações de temperatura x tempo em um gráfico, obteremos um diagrama de mudança de estado físico com dois patamares, diferente deste acima.
( ) O gráfico representa a mudança de estado de uma mistura azeotrópica.
( ) A temperatura “A” é a temperatura em que ocorre a fusão, e t2 é o tempo a partir do qual não vemos mais o estado sólido.
( ) “3” pode representar água e álcool em estado vapor e o intervalo entre t3 e t4 pode representar o momento no qual temos essas substâncias em estado líquido e vapor ao mesmo tempo.
( ) Existe uma variação de temperatura entre t3 e t4, o que torna esse diagrama característico de uma mistura.
Assinale a alternativa que apresenta a sequência CORRETA de cima para baixo.
Provas
Um técnico do laboratório de química do IFSC precisava preparar uma solução de um ácido a 0,1 M para uma aula prática de química analítica qualitativa, mas o frasco que encontrou apresentava rótulo em que constava a concentração em porcentagem em massa: 5% (m/m) e densidade de 1,320 kg/L.
Marque as sentenças verdadeiras com (V) e as falsas com (F), sobre o preparo da solução desejada (dado: massa molar do ácido) = 60 g/mol).
( ) O técnico poderia fazer uma primeira diluição, adicionando 100 mL de água a 10 mL dessa solução e depois pegar uma alíquota de 5 mL dessa solução diluída, passar para um balão volumétrico de 50 mL para diluir até a marcação correta.
( ) O técnico poderia fazer uma diluição, adicionando 500 mL de água a 50 mL dessa solução.
( ) O técnico poderia misturar 5 mL dessa solução a 100 mL de uma solução de concentração 3,3 g/L.
( ) O técnico poderia diluir 10 mL dessa solução em balão volumétrico de 1 L.
Assinale a alternativa que apresenta a sequência CORRETA de cima para baixo.
Provas
Caderno Container