Foram encontradas 1.600 questões.
Observe o circuito abaixo.

No circuito dado, temos duas lâmpadas L1 e L2 idênticas (5 W – 6 V), uma fonte CC de 6 V e um capacitor de 65 mF. Admitindo que os valores dos componentes são compatíveis com o objetivo do experimento (análise do regime transitório), é CORRETO afirmar que, ao fecharmos a chave interruptora:
Provas
Questão presente nas seguintes provas
No circuito estabilizador, a tensão no Zenner vale 6,2V. Então, a potência dissipada no diodo é de:

Provas
Questão presente nas seguintes provas
Os caminhos que os elementos seguem dentro do ecossistema dependem das transformações químicas e biológicas, que são funções das características químicas de cada elemento e da necessidade do mesmo pelos organismos.
Sobre os ciclos biogeoquímicos, é correto afirmar que:
Provas
Questão presente nas seguintes provas
O circuito abaixo permite controle de velocidade de um motor CC

Provas
Questão presente nas seguintes provas
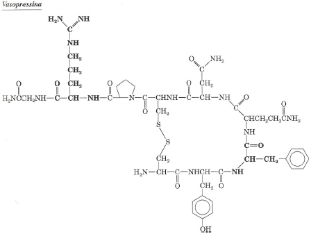
A oxitocina e vasopressina possuem estruturas notavelmente semelhantes, apesar da semelhança da cadeia de aminoácidos, estas duas substâncias possuem efeitos fisiológicos muito diferentes. A oxitocina ocorre apenas nas fêmeas das espécies animais e estimula a contração do útero durante o parto. A vasopressina ocorre em machos e fêmeas e causa a contração dos vasos sanguíneos periféricos e o aumento da pressão sanguínea. As estruturas da oxitocina e vasopressina podem ser observadas abaixo.


Pode-se concluir que a oxitocina e vasopressina são:
Provas
Questão presente nas seguintes provas
O C oferece dois modificadores que podem ser usados com ponteiros
Provas
Questão presente nas seguintes provas
Considerando-se as definições usadas na execução de levantamento topográfico, defini-se ERRO DE GRAFICISMO como
Provas
Questão presente nas seguintes provas
Os principais parâmetros a serem considerados na dosagem de um concreto e no controle de sua qualidade são, respectivamente
Provas
Questão presente nas seguintes provas
Um carregador de baterias será ligado à rede elétrica monofásica. Ele deve controlar adequadamente a corrente fornecida para a bateria de 12 volts. Tal equipamento pode ser construído com,
Provas
Questão presente nas seguintes provas
Alguns condicionadores de ar podem operar tanto para o “frio” quanto para o “quente”, permitindo condicionar o ambiente, tanto no inverno quanto no verão. Quanto à operação dos condicionadores de ar para aquecimento, afirma-se que a operação
Provas
Questão presente nas seguintes provas
Cadernos
Caderno Container