Foram encontradas 1.000 questões.
São observadas três placas retangulares com as seguintes dimensões: placa 1 (1mx1m), placa 2 (2mx2m) e placa 3 (1,5mx3m), conforme imagem e numeração. Essas placas são feitas do mesmo material e sofrem a mesma variação de temperatura.

Qual das opções abaixo ordena de forma crescente o tamanho final das placas (1, 2, e 3), considerando a dimensão horizontal e a área final, respectivamente?
Provas
A Física está presente no cotidiano de todos e, em muitos casos, contribui para a segurança no trabalho e para a redução do risco de acidentes. Em uma situação rotineira na construção civil, uma escada está apoiada em dois pontos: a base, sobre um piso horizontal de cerâmica, e outro ponto, sobre uma parede vertical de alvenaria, conforme a figura.

Um trabalhador, com 80 kg, pretende subir até quatro metros e setenta centímetros de altura utilizando esta escada. Sabendo-se que a escada tem uma massa de 50kg e possui 6 metros de comprimento, que a parede não oferece um atrito a ser considerado junto à escada e que, para a segurança do trabalhador, o ângulo deve ser de, no mínimo, 70°, é possível estimar que o coeficiente de atrito entre a escada e o piso, para não haver escorregamento, deve ser de
Provas
É muito comum nas aulas de Física modelarmos situações do cotidiano envolvendo análise de forças no movimento, desconsiderando atritos e massas de cabos e roldanas. Porém, em muitos desses casos, tais idealizações diminuem a possibilidade de fazermos previsões assertivas sobre os eventos e a quantificação das grandezas envolvidas. Um exemplo dessa situação pode ser visto na situação abaixo, em que se dispõe de dois blocos idênticos de massa 500 g e de uma roldana de massa 250 g e raio de 10 cm.

A fim de identificar a ocorrência de discrepâncias nas idealizações, são realizadas duas análises. Na primeira, chamada de caso 1, idealizamos um modelo no qual desconsideramos todos os atritos e não consideramos a massa dos cabos, nem a massa da roldana. Em uma segunda análise, caso 2, mesmo sem considerar a massa dos cabos e o atrito no eixo da roldana, para buscar maior aproximação com a realidade, passamos a considerar a massa da roldana e o atrito oferecido pela superfície de contato, admitindo que o coeficiente de atrito estático tem o mesmo valor do atrito cinético, com valor de u=0,1.
Dessa forma, é possível encontrar o módulo da tensão T no caso 1, aqui nomeada de T1, e a tensão T no caso 2, nomeada de T2. Qual a diferença entre T1 e T2?
Provas
Em um parque de diversões, as crianças divertem-se em um brinquedo em que elas escorregam por uma pista e caem na piscina, conforme a figura 2 abaixo:

Considerando que, para uma criança de 50kg, a pista oferece uma força de atrito de módulo constante dado por f= 273N e que do ponto O ao ponto P tem-se um arco de circunferência de raio r=1m, a velocidade horizontal v que a criança deve ter no ponto O, para perder o contato exatamente no ponto P, deve ter módulo de
Provas
A teoria da gravitação universal de Newton consolidou uma mudança de paradigma dentro da Física, e essa mudança pode ser vista como mais um passo rumo ao entendimento da Astronomia. Contudo, até chegarmos às contribuições de Newton, um longo caminho foi percorrido e, no decorrer da história da evolução do conhecimento científico, existiram diversas proposições que procuravam explicar os movimentos celestes.
Considerando as proposições apresentadas a seguir, classifique V, para as sentenças verdadeiras, e F, para as falsas.
( ) As teorias geocêntricas de Ptolomeu, embasadas nas ideias de Apolônio de Perga e de Hiparco, ofereciam um bom nível de precisão para a análise dos movimentos celestes, porém não conseguiam explicar a causa dos movimentos.
( ) Aristarco de Samos foi um filósofo grego, que aproximadamente 300 anos antes de Cristo defendia o modelo heliocêntrico, e sistematizou um método para estimar distâncias e tamanhos relativos entre Terra, Sol e Lua, propondo que a Terra gira em torno do Sol.
( ) Copérnico revolucionou o estudo sobre os corpos celestes com uma nova explicação dinâmica heliocêntrica para o movimento dos astros. Em sua obra “Astronomia Nova”, Copérnico procura reformular a teoria astronômica, buscando considerar as causas dos movimentos celestes.
( ) Galileu é considerado o pai da física experimental e o fundador da astronomia telescópica. Dentre suas contribuições para a Astronomia, merecem destaque a criação do telescópio refletor, a descoberta das 4 maiores luas de Júpiter e a previsão, por meio de recursos matemáticos, da existência do planeta Netuno.
A sequência correta, de cima para baixo, é:
Provas
Durante uma visita técnica a uma indústria, uma turma de Ensino Médio Integrado do IFSUL depara-se com uma linha de produção em que caixas são transladadas por uma longa esteira com uma pequena inclinação com a horizontal.

Percebendo ali uma oportunidade de relacionar o evento com os conteúdos trabalhados nas aulas de Física, o professor questiona os estudantes sobre quais as forças que estão envolvidas no fenômeno, considerando apenas a existência das caixas, da esteira e da Terra. Questionados ainda sobre como essas forças contribuem para o entendimento desse movimento, os estudantes tecem diversas afirmações, sendo que algumas delas estão transcritas abaixo.
I. Como as caixas deslocam-se sem escorregamento na esteira, que se move com velocidade constante, é possível afirmar que as forças atuantes nas caixas são: o peso, que é a interação da caixa com a Terra; a normal, que é a reação do peso; a força de atrito, que atua como uma força resistiva ao movimento.
II. Como as caixas deslocam-se sem escorregamento na esteira, que se move com velocidade constante, é possível afirmar que as forças atuantes nas caixas são: o peso, que é a interação da caixa com a Terra; a normal, que é uma interação de origem eletromagnética com a esteira; a força de atrito, que atua como uma força resistiva ao movimento.
III. Como as caixas deslocam-se sem escorregamento na esteira, que se move com velocidade constante, é possível afirmar que as forças atuantes nas caixas são: o peso, que é a interação da caixa com a Terra; a normal, que é uma interação de origem eletromagnética com a esteira; a força de atrito, que é responsável pelo movimento da caixa em relação aos estudantes.
IV. Como a esteira consegue deslocar as caixas, conclui-se que a força que a esteira faz nas caixas é maior que a força que elas fazem na esteira. Se tais forças se igualarem, a esteira não consegue deslocar as caixas.
V. Como a esteira consegue deslocar as caixas, conclui-se que a força responsável pelo movimento das caixas em relação aos estudantes é a força de atrito estático, considerando que não existe movimento entre as caixas e a superfície de contato com a esteira.
VI. Como a esteira consegue deslocar as caixas, conclui-se que a força responsável pelo movimento delas em relação aos estudantes é a força de atrito cinético, considerando que existe movimento entre as caixas e os estudantes.
Analisando as afirmações dos estudantes, é possível considerar que estão corretas apenas as opções
Provas
No prefácio da primeira edição do Philosophiae Naturalis Principia Mathematica (Princípios Matemáticos de Filosofia Natural), o Principia, Isaac Newton afirma que é possível investigar as forças da natureza a partir da análise dos movimentos e, assim, generalizar um conjunto de regras que contribuirão para o entendimento de outros fenômenos. Essa construção conceitual é fruto da contribuição e da análise de diferentes proposições tecidas no decorrer da história do desenvolvimento do conhecimento científico.
A respeito dessas contribuições e proposições anteriores às Leis de Newton, podemos afirmar que
Provas
A Física nos permite, por meio de diferentes modelos, entender e prever o comportamento de inúmeros eventos comuns em nossa vida. Uma dessas situações pode ser vivenciada quando um barco de pesca de duas toneladas, navegando pelas águas calmas de um lago, ao se aproximar do cais, desliga o motor, reduzindo assim sua velocidade devido à ação da força de arraste das águas.
Sabe-se que a velocidade inicial do barco era de 40km/h e que o módulo da força de arraste pode ser definida pela relação f=50v, em que v é a velocidade do barco. O tempo necessário para que a velocidade chegue a 20km/h, mantendo-se direção e sentido, será de
Provas
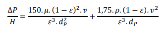
Um leito fixo preenchido com partículas esféricas de diâmetro médio igual a dp = 3 mm está sendo utilizado para filtrar água. O leito possui uma altura H = 0,5 m e uma porosidade de ε = 0,4. A água a 20°C, com uma vazão volumétrica de Q = 0,002 m3/s, atravessa o leito. A seção transversal do leito tem um diâmetro de D = 0,2 m.
As propriedades da água são: massa específica ρ = 998 kg/m3 e viscosidade dinâmica μ = 0,001 Pa.s. O escoamento ocorre no regime laminar. A queda de pressão no leito pode ser estimada pela equação de Ergun:

Nessa equação, \( v \) é a velocidade superficial.
Baseando-se nessas informações, o valor aproximado para a queda de pressão estimada para o leito é
Provas
Em uma coluna de destilação, a separação dos componentes ocorre devido ao contato entre as fases líquida e vapor ao longo dos estágios. A coluna pode ser dividida em duas seções principais: a seção de retificação (acima do ponto de alimentação) e a seção de stripping (abaixo do ponto de alimentação). Uma coluna de destilação é utilizada para separar uma mistura binária em que o componente mais volátil deve ser recuperado no topo com alta pureza. O número de estágios teóricos e a eficiência do processo são afetados diretamente por diferentes variáveis operacionais e de projeto.
Considere as seguintes afirmações:
( ) O aumento da relação de refluxo em uma coluna de destilação reduz o número de estágios teóricos necessários para atingir uma mesma especificação de pureza no topo da coluna.
( ) A concentração do produto de topo sem o refluxo não pode ser maior do que a concentração do vapor que sobe do prato de alimentação.
Analise as observações acima, assinalando, nos parênteses, (V), para as verdadeiras, e (F), para as falsas.
A sequência correta, de cima para baixo, é:
Provas
Caderno Container