Foram encontradas 1.000 questões.
Considere um escoamento em regime permanente, bidimensional, incompressível no plano xy para o qual a função corrente é assim definida:
\( \psi\ =\ ae^{x+b}+y^2-\dfrac{c}{x} \)
Considere, também, que a, b e c são constantes.
Com base nessas informações, quais são, respectivamente, as componentes y e x do campo de velocidade correspondente?
Provas
As máquinas de fluxo podem ser classificadas de maneira ampla em dois tipos: máquinas de deslocamento positivo e máquinas dinâmicas, dependendo da forma como a energia é transferida. Alguns tipos de bomba com boa vedação são capazes de gerar uma pressão de vácuo considerável em sua entrada, mesmo estando secas, permitindo-lhes elevar um líquido situado a vários metros abaixo de sua posição.
A bomba acima descrita é classificada como
Provas
Quando o petróleo chega a uma refinaria, ele pode conter impurezas que, se não forem removidas, podem gerar problemas referentes à corrosão, à estabilidade de emulsões e à diminuição da qualidade dos produtos obtidos na destilação. Uma das impurezas mais relevantes em uma carga de petróleo é o enxofre.
Em relação ao enxofre, é INCORRETO afirmar que esse contaminante
Provas
Em uma refinaria, o resíduo do petróleo (o óleo não aproveitado depois de passar pela destilação atmosférica e a vácuo) geralmente passa por processos que visam quebrar moléculas maiores em menores, por exemplo, com o objetivo de gerar uma gasolina de alta qualidade ou outros produtos de maior valor agregado. Um dos processos utilizados para essa finalidade é o craqueamento catalítico em leito fluidizado (FCC- Fluid Catalytic Cracking).
Sobre esse processo, é INCORRETO afirmar que
Provas
Entende-se por coqueamento retardado um processo em que um dos produtos obtidos é o coque de petróleo, que pode ser usado na produção de eletrodos na indústria metalúrgica, e outras variáveis de coque, como o ‘coque esponja’ e o ‘coque agulha’.
Sobre o processo de coqueamento, é correto afirmar que
Provas
Um equipamento essencial na refinaria é a coluna de destilação atmosférica, que tem por objetivo separar as frações de petróleo. A destilação a vácuo é um complemento da destilação atmosférica, que visa à redução do ponto de ebulição das frações pesadas e permite a separação do óleo cru a temperaturas menores, se comparada com a destilação atmosférica.
Os produtos oriundos da destilação a vácuo, como o gasóleo leve e pesado de vácuo, seguem para unidades de
Provas
O petróleo pode ser considerado como um conjunto de hidrocarbonetos e não-hidrocarbonetos. Por ser encontrado em reservatórios distintos, suas propriedades são diferentes, como a densidade e viscosidade, por exemplo. Esses parâmetros podem ser determinados via valores médios ou correlações matemáticas.
NÃO é considerado(a) um parâmetro de caracterização do petróleo a(o)
Provas
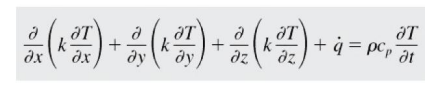
Na transferência de calor, uma equação muito utilizada no plano cartesiano é a equação da difusão de calor na sua forma geral:

A equação da difusão de calor pode ser reduzida mediante a dimensão do sólido, a ocorrência ou não de geração de energia, a variação ou não do sistema com o tempo.
Com relação a essa equação, qual das afirmativas a seguir é correta?
Provas
Aletas ou superfícies estendidas são sólidos secundários, conectadas em um sólido principal. São utilizadas para aumentar consideravelmente a troca de calor entre um sólido e um fluido.
Com relação a aletas, são feitas as seguintes afirmativas:
I. O resfriamento é mais rápido devido a uma maior área de troca de calor.
II. A utilização de superfícies estendidas se dá principalmente com a finalidade de melhorar a transferência de calor nas fronteiras do sólido principal, que ocorre por condução.
III. Uma maneira de elevar a taxa de calor por meio do aumento do coeficiente convectivo, o que pode ser realizado com o aumento da velocidade do fluido que passa pela aleta.
Estão corretas as afirmativas
Provas
A transferência de calor muitas vezes pode ser dependente do tempo, devido a mudanças de condições de contorno do sólido em análise. Um parâmetro utilizado para essa finalidade é o número de Biot – Bi (que representa uma medida da queda de temperatura no sólido em relação à diferença de temperatura entre a superfície e o fluido). A
partir dessa relação, se o número de Biot for muito menor que 1, a resistência à condução no interior do sólido
Provas
Caderno Container