Foram encontradas 560 questões.
Disciplina: Segurança e Saúde no Trabalho (SST)
Banca: UFJF
Orgão: IF-SUL Minas
Sobre a NR6 do MTE (Ministério do Trabalho e Emprego), que dispõe sobre os EQUIPAMENTOS DE PROTEÇÃO INDIVIDUAL – EPI, assinale a alternativa CORRETA.
Provas
A fluoxetina, cuja fórmula estrutural é apresentada abaixo, é o princípio ativo de fármacos antidepressivos.

Com relação a esse composto, é CORRETO afirmar que ele apresenta:
Provas
Observe, a seguir, a reação de decomposição de primeira ordem do peróxido de hidrogênio:
!$ 2 H_2O_{2(aq)} \rightarrow H_2 O_{(I)} + O_{2(g)} !$
Dado: In(2) = 0,69
Sabendo que a constante de velocidade da reação é k = 1,0 x 10-3 min-1, a 25 ºC, marque a opção CORRETA que corresponde à meia vida dessa reação.
Provas
Considerando que a mesma reação descrita na questão 46 seja submetida a variações de pressão, mantendo-se constante a temperatura, assinale a alternativa INCORRETA.
Provas
Dentro de um recipiente fechado, contendo inicialmente, N2O4(g), ocorre, à temperatura constante de 100 ºC, o seguinte processo:
!$ N_2 O_{4(g)} \rightleftharpoons 2\,\,N O_{2(g)} !$
As concentrações (em unidades relativas) dos participantes foram monitoradas com o passar do tempo, conforme o gráfico abaixo.

Conforme as informações do gráfico, o tempo aproximado de equilíbrio e a constante de equilíbrio são, respectivamente:
Provas
Quanto à vidraria utilizada em laboratórios de análises químicas, analise os itens abaixo:
I) O volume medido na pipeta volumétrica é menos preciso que aquele medido na pipeta graduada.
II) A diluição de uma substância em balão volumétrico não permite o aquecimento do balão em água fervente.
III) O balão de fundo chato permite medidas de volumes com precisão.
IV) As provetas são utilizadas por permitirem medir diferentes volumes de forma aproximada.
V) O volume de um titulante gasto em uma titulação, utilizando uma bureta, não tem a mesma precisão que o volume de uma pipeta volumétrica.
Assinale a alternativa CORRETA que contém as afirmativas verdadeiras.
Provas
Um técnico de laboratório estava transportando um litro de piridina (solvente orgânico básico e volátil) em um frasco de vidro por um corredor, quando o frasco caiu no chão, quebrou e espalhou seu conteúdo. No momento do acidente não havia mais ninguém no local. O líquido não escorreu para os ralos, simplesmente ficou como uma poça no chão. Com relação às medidas adotadas em casos de acidentes, analise os itens abaixo, correspondentes aos procedimentos de segurança.
I) Recolher os cacos de vidro, antes de qualquer outra ação, para evitar que alguém venha a ferir-se.
II) Espalhar material inertizante e absorvente sobre o líquido espalhado.
III) Chamar, primeiramente, o pessoal do serviço de limpeza, para evitar que alguém escorregue no piso com solvente.
IV) Indumentar-se com máscara para gases, óculos de segurança, luvas, botas e avental.
Assinale a alternativa CORRETA que contém as afirmativas verdadeiras.
Provas
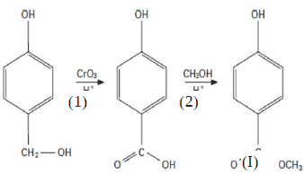
A cadela, no cio, libera o composto (I), responsável pela atração do cachorro. A obtenção desse composto está indicada na seguinte equação:

As reações 1 e 2 são, respectivamente:
Provas
O colesterol dá origem à testosterona, um hormônio ligado ao desenvolvimento sexual, e ao estradiol, que regula as funções sexuais (figuras abaixo).

Sobre essas substâncias, é CORRETO afirmar que:
Provas
Observe a seguinte reação:
!$ N_{2(g)} + 3H_{2(g)} \overset{Fe} { \rightleftharpoons } 2NH_{3(g)} !$
Sobre a reação, pode-se afirmar que o ferro:
Provas
Caderno Container