Foram encontradas 50 questões.
A chave da figura abaixo do circuito ficou na posição ‘a’ por um longo tempo. No instante t = 0s ela é movida para a posição ‘b’ e nela permanece. Considere V0 = 24V, R1 = 80Ω, R2 = 20Ω e C1 = 0,1F.

Provas
A chave da figura abaixo do circuito ficou na posição ‘a’ por um longo tempo. No instante t = 0s ela é movida para a posição ‘b’ e nela permanece. Considere V0 = 24V, R1 = 80Ω, R2 = 20Ω e C1 = 0,1F.

Provas
Calcule a tensão Vab no circuito da figura abaixo.

Provas
Provas
Um capacitor de 5 µF com tensão inicial de 4 V é conectado em paralelo com resistores de 6kΩ e 3kΩ, como mostrado na figura abaixo. Encontre o valor da corrente i no resistor de 6kΩ.

Provas
Considere o seguinte circuito:

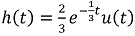
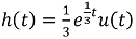
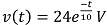
Encontre a resposta ao impulso do circuito h(t), supondo que o sistema é causal.
Provas
Dadas as afirmações abaixo sobre os tipos de lâmpadas, quais afirmações são VERDADEIRAS?
I) Incandescente: eficiência luminosa baixa, vida útil alta e reprodução de cores ruim.
II) Fluorescente: eficiência luminosa média e alta, vida útil média e reprodução de cores que depende das características do revestimento fluorescente utilizado.
III) Vapor de Sódio: eficiência luminosa elevada, vida útil elevada, se comparada as anteriores, e reprodução de cores não muito boa.
Provas
Determine os valores de R1 , R2 e R3 no circuito da figura a seguir de modo que a potência total fornecida pela fonte seja de 36W e as tensões V1 , V2 e V3 , todas medidas em relação ao terminal comum, sejam, respectivamente, 12V, 6V e –12V.

Provas
Considerando as tabelas a seguir, calcule o número de iluminamento (iluminância) que deverá ser utilizado em um escritório ocupado por pessoas com idade entre 40 e 55 anos, considerando que a velocidade e a precisão não são importantes e a refletância das mesas de trabalho é de 40%.
Tabela a - Iluminância para cada grupo de tarefas visuais.

Tabela b - Fatores determinantes da iluminância adequada.

Provas
Provas
Caderno Container