Foram encontradas 1.010 questões.
A reação abaixo apresenta dois produtos, sendo predominante o alceno mais substituído. Trata-se de uma reação de:

Provas
Em relação às reações pericíclicas, analise as assertivas abaixo e assinale V, se verdadeiras, ou F, se falsas.
( ) Nas reações eletrocíclicas uma ligação !$ \pi !$ é quebrada, outras ligações !$ \pi !$ mudam de posição, uma nova ligação !$ \sigma !$ é formada e obtém-se um composto cíclico.
( ) Uma reação pericíclica é uma reação que ocorre como resultado de um rearranjo cíclico de elétrons.
( ) Um rearranjo sigmatrópico é um tipo de reação pericíclica no qual um grupo ou átomo substituinte unido por ligação !$ \sigma !$ migra através de um sistema de elétrons !$ \pi !$ de uma posição para outra.
( ) Uma reação de cicloadição é uma reação na qual duas moléculas insaturadas se adicionam uma à outra, produzindo um produto cíclico.
A ordem correta de preenchimento dos parênteses, de cima para baixo, é:
Provas
A produção e venda de drogas quirais é de grande importância para a indústria farmacêutica. No agente anti-inflamatório ibuprofeno, por exemplo, apenas o isômero (S) é efetivo. O isômero (R) não tem ação anti-inflamatória, embora o isômero R seja lentamente convertido no isômero S no organismo. A respeito de isômeros e estereoquímica, assinale a alternativa INCORRETA.
Provas
Quais produtos seriam formados a partir das reações abaixo, respectivamente?

Provas
Em relação a ácidos e bases em química orgânica, analise as assertivas a seguir:
I. Quanto maior o valor de pKa, mais forte será o ácido.
II. Quanto mais forte o ácido, mais fraca será sua base conjugada.
III. A acidez da acetona e de outros compostos com ligações C = O deve-se ao fato de a base conjugada resultante da perda de H+ ser estabilizada por ressonância.
IV. Aminas são compostos orgânicos com caráter básico, pois possuem um par de elétrons livres no nitrogênio.
V. As arilaminas são normalmente mais básicas que as alquilaminas.
Quais estão corretas?
Provas
As solubilidades molares a 25°C do fosfato de cálcio Ca3(PO4)2 e do cromato de prata, Ag2CrO4, são, respectivamente, 1,0 x 10–6 mol/L e 6,5 × 10–5 mol/L. Determine o valor de Kps para o Ag2CrO4 e Ca3(PO4)2 e indique qual desses sólidos é mais solúvel.
Provas
As reações de substituição nucleofílica são um dos tipos de reações mais comuns e versáteis da química orgânica. Em relação às reações de substituição nucleofílica, analise as assertivas abaixo e assinale V, para verdadeiras, ou F, para falsas.
( ) A reação SN2 ocorre em duas etapas com a formação de intermediários.
( ) Em uma reação SN2, o nucleófilo ataca o lado oposto ao grupo de saída.
( ) As reações apresentam uma cinética de primeira ordem, de acordo com a lei da velocidade: velocidade = k x [Nu:-].
( ) Na reação SN2, a velocidade da reação depende da concentração do substrato e do nucleófilo.
A ordem correta de preenchimento dos parênteses, de cima para baixo, é:
Provas
Sobre as propriedades dos compostos orgânicos, hidrocarbonetos, álcoois e ácidos carboxílicos de massa molecular comparável, analise as seguintes assertivas:
I. A fórmula molecular geral para um alcano é CnH2n+1.
II. A solubilidade em água do hidrocarboneto é menor do que a do álcool.
III. O ponto de ebulição do propanol é menor do que o do propano.
IV. O ponto de fusão do hidrocarboneto é menor do que o do ácido carboxílico.
Quais estão corretas?
Provas
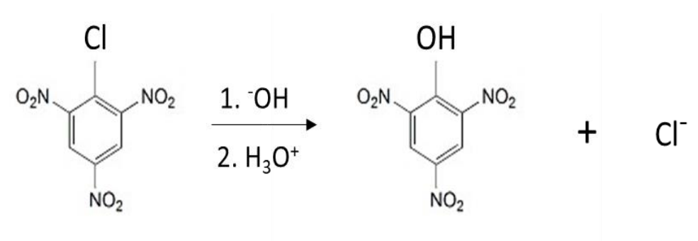
O composto 2,4,6-trinitroclorobenzeno reage com o NaOH aquoso à temperatura ambiente para formar o 2,4,6-trinitrofenol com rendimento de 100%. Nesse sentido, analise a reação abaixo:

Trata-se de uma reação de:
Provas
A espectroscopia molecular baseada na radiação ultravioleta e visível é amplamente empregada para a identificação e determinação de muitas espécies orgânicas e bioquímicas. Com relação a isso, assinale a alternativa INCORRETA.
Provas
Caderno Container