Foram encontradas 50 questões.
Provas
Provas
O determinante da matriz
é igual a
Provas
Considere os seguintes números complexos:

A respeito de u, v e w, assinale a opção correta.
Provas
O triângulo ABC mostrado a seguir está inscrito no retângulo incompleto, de lados pontilhos. As medidas dos lados do retângulo podem ser observadas na figura seguinte.

O valor da área do triângulo ABC apresentado anteriormente é igual a
Provas
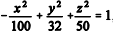
Sobre o hiperboloide de uma folha, de equação
, quando interceptado pelo plano x = 10
determina-se, no espaço, uma elipse. Nesse caso, o comprimento
do eixo maior dessa elipse, em unidades de comprimento, é igual a
Provas
Provas

Provas
Por mais limitado que seja o âmbito de vida de qualquer povo, lá iremos encontrar, em gérmen ― por vezes, obscuras e indiscriminadas ―, quatro grandes instituições fundamentais que constroem e condicionam a vida em comum: a família, o Estado, a igreja e a escola.
Desde que haja vida em comum, essas instituições, sob alguma forma, hão de aparecer, e aparecem para manter, nutrir, ordenar e iluminar a vida em comum. Existir em sociedade envolve, com efeito, imensas complexidades. Cada indivíduo nada mais sendo do que uma urdidura de laços sociais, toda sua vida transcorre em plano superior ao de sua própria vida física, e seus meios de expressão não podem ser outros que os das instituições de sua sociedade. Dentre essas, avultam as que mais largamente compõem o quadro da existência coletiva. A família, que vela pelo seu desenvolvimento inicial e o conduz a se tornar, por sua vez, um perpetuador de sua espécie; o Estado, que o defende e regula a vida em grupo; a igreja, que lhe dá o sentido profundo do seu devotamento social; e a escola, que o humaniza e o socializa.
Todas essas funções se confundem e se misturam, em cada uma dessas instituições, de tal forma que a história de qualquer delas é, de algum modo, a história da humanidade.
Anísio Teixeira Notas para a história da educação In: Revista
brasileira de estudos pedagógicos Rio de Janeiro, v 37,
n º 85, jan Smar /1962, p 181 (com adaptações)
Em cada uma das opções a seguir é apresentada uma proposta de reescrita do seguinte trecho do texto : “Cada indivíduo nada mais sendo do que uma urdidura de laços sociais, toda sua vida transcorre em plano superior ao de sua própria vida física, e seus meios de expressão não podem ser outros que os das instituições de sua sociedade.”. Assinale a opção que apresenta uma proposta de reescrita que mantém a correção gramatical e a coerência do texto.
Provas
Educar para a transcendência é tentar estabelecer um equilíbrio entre a educação para a sobrevivência e a educação para a transcendência. Explico melhor: a educação tem sido até hoje, na melhor das hipóteses, uma transferência cultural que oferece aos jovens a possibilidade de sobreviver dentro da sua cultura, entendida como modo de vida. Isso ocorre no contexto das formas mais tribais da educação, até nas mais sofisticadas, mas não menos egoístas.
Com a evolução da espécie humana ― que existe diferenciada dos animais há 4 ou 5 milhões de anos ―, foi se acentuando a nossa diferença fundamental em relação aos animais: consciência do espaço temporal em que vivemos — isto é, consciência do começo e do fim da vida — e curiosidade intensa sobre o que éramos antes e o que iremos ser depois. Ao penetrarmos, conscientemente, nesse campo desconhecido por meio do raciocínio, da filosofia e, por que não, da ciência, estaremos no caminho da transcendência.
É preciso que a educação nos prepare para esse caminho com o qual poderemos entender melhor de onde viemos e para onde vamos. Isso nos tornará mais humildes, mais humanos e mais éticos. Estes dois aspectos, ética e transcendência, andam juntos e só se logram com uma maior abertura e um conteúdo humanístico e filosófico cada vez maior no processo educativo.
José Aristodemo Pinotti Discurso [sobre o
processo de discussão da reforma universitária]
Internet: <www camara gov br> (com adaptações)
O texto é essencialmente
Provas
Caderno Container