Foram encontradas 605 questões.
Provas
Provas
Provas

A figura precedente consiste em um mapa que descreve as características de desempenho de um compressor centrífugo. Considerando as possibilidades de deslocamento do ponto de operação em função de parâmetros como velocidade, pressão de sucção, pressão de descarga, vazão, densidade do gás, etc., julgue os próximos itens, acerca do comportamento operacional retratado no mapa apresentado.
I Com uma pressão de sucção constante e uma pressão de descarga elevada, o ponto de operação se desloca para a esquerda, podendo ocorrer uma vazão ou fluxo reverso no compressor.
II Uma redução muito acentuada da vazão pode causar o deslocamento do ponto de operação para a região de surge, o que provocará, além da reversão do escoamento, um aumento brusco na pressão.
III Um aumento da vazão pode causar o deslocamento do ponto de operação para a direita, até a região de choking ou stonewall, o que provocará uma redução acentuada na velocidade de rotação do compressor.
Assinale a opção correta.
Provas
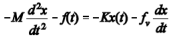
Os sistemas mecânicos possuem três componentes passivos lineares: a mola, que são elementos armazenadores de energia; e o amortecedor viscoso, que dissipa energia. Na tabela a seguir, é a apresentada a força deslocamento para esses componentes, em que K, ƒv e M são, respectivamente, a constante de mola, o coeficiente de atrito viscoso e a massa.

A figura I seguinte ilustra um sistema massa-mola, cujo diagrama de corpo livre forças atuantes no corpo de massa M — é mostrado na figura II.

Considerando essas informações, assinale a opção que apresenta o modelo matemático obtido a partir do equilíbrio de forças no referido sistema massa-mola e permite o cáculo correto do deslocamento — x(t) — do corpo de massa M.
Provas
Provas
Acerca do funcionamento de compressores de ar alternativos, julgue os seguintes itens.
I A utilização de arrefecimento intermediário (intercooler) em compressores de dois estágios melhora o rendimento volumétrico, porém aumenta o trabalho requerido.
II O vapor de água presente no ar não influencia a eficiência volumétrica dos compressores.
III Em compressores de estágio simples, a sucção, a compressão e a descarga ocorrem em dois cursos do pistão.
Assinale a opção correta.
Provas
Uma indústria deverá ser instalada em determinado local e sua planta industrial demanda uma vazão de 1 m³/s de água para o processo. Antes de adquirir o local, foi feito um estudo de disponibilidade hídrica. Uma curva de permanência, que indica a percentagem de tempo em que determinado valor de vazão foi igualado ou ultrapassado durante o período de observação, foi levantada. A figura seguinte mostra a curva de permanência elaborada.

Considerando-se que seja necessária uma vazão remanescente de 1 m3 /s para atendimento dos demais usos múltiplos da água e que, para a decisão pela instalação é necessário que 80% das vazões de todo o histórico sejam suficientes para a demanda da indústria e para os usos múltiplos, a melhor decisão será pela
Provas
Provas
Provas
Caderno Container