Foram encontradas 500 questões.
- Análise de Demonstrações ContábeisRetorno sobre Capital EmpregadoAlavancagem
- Análise de Demonstrações ContábeisDemais Tipos de Análise
Provas
A empresa Sucesso Ltda está analisando a viabilidade de ampliar sua capacidade fabril, a partir da compra de uma nova máquina, no valor de R$ 300.000,00. As projeções são de que a receita seja alavancada nos próximos 5 anos em R$ 100.000,00; R$ 160.000,00; R$ 180.000,00; R$ 280.000,00; R$ 200.000,00. Estima-se que, entre os custos fixos e variáveis, a máquina consuma 40% da receita do respectivo período de comparação, mais 5% do gasto incorrido no ano anterior ao de análise. Após o período de 5 anos, prevê-se um valor de revenda da máquina de R$ 40.000,00. Sabe-se, ainda, que o custo de oportunidade é de 20% ao ano.
O valor presente líquido do projeto é, aproximadamente, de
Provas
- Análise de Demonstrações ContábeisCusto de Oportunidade
- Análise de Demonstrações ContábeisÍndicesMercado
- Análise de Demonstrações ContábeisDemais Tipos de Análise
A empresa Sucesso Ltda está analisando a viabilidade de ampliar sua capacidade fabril, a partir da compra de uma nova máquina, no valor de R$ 300.000,00. As projeções são de que a receita seja alavancada nos próximos 5 anos em R$ 100.000,00; R$ 160.000,00; R$ 180.000,00; R$ 280.000,00; R$ 200.000,00. Estima-se que, entre os custos fixos e variáveis, a máquina consuma 40% da receita do respectivo período de comparação, mais 5% do gasto incorrido no ano anterior ao de análise. Após o período de 5 anos, prevê-se um valor de revenda da máquina de R$ 40.000,00. Sabe-se, ainda, que o custo de oportunidade é de 20% ao ano.
O pay-back estimado é, aproximadamente, de
Provas
Provas
Provas
Em uma aplicação de automação, foram levantados os seguintes elementos de campo que devem ser conectados aos cartões de E/S de um Controlador Lógico Programável:
04 botões intermitentes
03 sinaleiros
03 transmissores de pressão
04 interruptores
03 válvulas solenoides
03 sirenes
10 contatores
04 válvulas de abertura proporcional
03 chaves fins-de-curso
08 contatos NA de contator
Para essa aplicação, são necessárias as seguintes quantidades de pontos de E/S:
Provas
- Controladores (Proporcional, PI e PID)
- Diagrama de Blocos
- Diagrama de Bode
- Sistemas de Controle
- Transformada de Laplace

Provas
Os inversores de frequência possibilitam variar a velocidade dos motores de indução trifásicos. O seu surgimento substituiu os rudimentares sistemas de variação de velocidades mecânicos, tais como polias, variadores eletromagnéticos e variadores hidráulicos, bem como os custosos motores de corrente contínua. Sobre esse tipo de conversor, analise as afirmativas a sequir e marque (V) para verdadeiro ou (F) para Falso.
( ) Os inversores de frequência podem ser alimentados com uma rede monofásica e, ao mesmo tempo, acionar um motor trifásico, ou seja, o inversor consegue sintetizar uma tensão trifásica através de uma rede monofásica.
( ) Os inversores de frequência não somente controlam a velocidade do eixo de motores elétricos trifásicos de corrente alternada, como também controlam outros parâmetros inerentes ao motor elétrico como, por exemplo, tensão, corrente e torque.
( ) Os inversores de frequência possibilitam controlar as partidas e as frenagens dos motores, tornando a operação das máquinas mais suaves. Além disto, o inversor permite operações em vários regimes de carga.
( ) Inversores de frequência naturalmente corrigem o fator de potência de um motor trifásico de indução. O motor poderá operar com um fator de potência baixo, mas o fator de potência, visto pela rede, é o do inversor que está mais elevado do que o do motor.
A sequência correta é
Provas
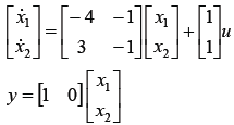
Considere um sistema representado no espaço de estados pelo seguinte conjunto de equações matriciais:

A função de transferência G(s) que representa o sistema está corretamente indicada em:
Provas
O diagrama LADDER abaixo representa a lógica de acionamento de um sistema liga-desliga com retenção, utilizado para a partida direta de um motor:

Analise as afirmativas abaixo e marque (V) para verdadeiro ou (F) para falso.
( ) Os elementos de entrada são normalmente abertos no campo.
( ) A retenção é feita por meio de um contato físico, normalmente aberto, de K1.
( ) São necessárias 3 entradas digitais para a conexão individual de todos os elementos de entrada de campo.
A sequência correta é
Provas
Caderno Container