Foram encontradas 500 questões.
As características das linhas de um sistema de potência equilibrado são apresentadas abaixo, bem como o resultado da análise de fluxo de carga linear, aplicado a este mesmo sistema.


Provas
Analise as afirmativas e marque (V) para verdadeiro ou (F) falso.
Na modelagem de linhas de transmissão aéreas, cujo diâmetro dos condutores é muito menor em comparação à distância entre os mesmos,
( ) a indutância interna de um condutor cilíndrico, com permeabilidade magnética constante, que conduz uma densidade decorrente uniforme através da sua superfície transversal, não depende do diâmetro do condutor.
( ) ao considerar apenas um condutor cilíndrico que conduz uma corrente l₁, o fluxo magnético enlaçado entre a superfície do condutor e um ponto localizado no infinito tende a zero.
( ) considerando um conjunto de dois condutores cilíndricos, onde um condutor funciona como caminho de retorno para a corrente que passa pelo outro, a indutância total associada ao conjunto diminui com o aumento da distância entre os condutores.
( ) tendo um condutor X, composto por 4 fios em paralelo, e
um condutor de retorno Y, composto por 2 fios em paralelo,
a distância média geométrica do conjunto é dada pela seguinte
expressão:
onde Dxiyj é a distância entre o condutor i do conjunto X e o
condutor j do conjunto Y.
( ) o conceito de condutores imagem é utilizado para calcular a matriz de indutâncias série de uma linha de transmissão.
Provas
Analise os diagramas de carga e funcional de comando, representados a seguir.

É correto afirmar que a
Provas
O item (a) da figura abaixo apresenta a representação unifilar e as características elétricas de um transformador trifásico, e o item (b), o seu modelo em sequência positiva.
Transformador trifásico: unifilar e características elétricas (a), e modelo de sequência positiva (b).

Com base nas informações acima, os valores que mais se aproximam da reatância de dispersão e da relação de transformação,representadas no item (b) pelos elementos Xt , α e θ, respectivamente,são:
Provas
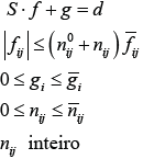
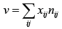
Considere a modelagem básica do problema da expansão do sistema de transmissão de energia elétrica, utilizando o modelo de transportes:
Minimizar: ![]()
Satisfazendo: 
Relacione a segunda coluna de acordo com a primeira
COLUNA l COLUNA ll

A sequência correta é
Provas
Considerando a modelagem de um gerador síncrono de polos salientes, em regime estacionário, cujas bobinas de fase estão na armadura e o bobinado de campo no rotor,
I- as indutâncias próprias das bobinas de armadura dependem do ângulo do rotor.
II- as indutâncias mútuas entre as bobinas de fase permanecem constantes.
III- a indutância própria da bobina de campo varia com o ângulo do rotor.
IV- a indutância mútua entre a bobina de campo e as bobinas de armadura variam no tempo quando o rotor gira.
V- utilizando a transformada de Park, é possível deduzir que a corrente de eixo em quadratura não influencia na expressão do fluxo enlaçado pela bobina de campo.
Estão corretas apenas as afirmativas
Provas
Provas
- Transformadores e Máquinas ElétricasMáquinas Síncronas
- Sistemas Elétricos de PotênciaAnálise de SEP
- Sistemas Elétricos de PotênciaDistribuição de Energia Elétrica
- Sistemas Elétricos de PotênciaTransmissão
Analise as afirmativas abaixo, referentes às características dos sistemas elétricos de potência.
I- A energia elétrica é majoritariamente gerada através de má- quinas síncronas que são movidas por turbinas (hidráulicas, a vapor e de combustão interna).
II- As tensões de geração, normalmente, estão na faixa de 69 a 138 kV.
III- A maior parcela da energia gerada é transmitida das centrais de geração por longas distâncias até os centros de cargas.
IV- As linhas de transmissão de energia trabalham com tensões elevadas, por exemplo, 230 kV.
V- Sistemas de corrente contínua são os principais meios de geração, transmissão e distribuição de energia elétrica.
VI- O sistema de distribuição é o estágio final da transferência de potência para os consumidores individuais. A tensão, na distribuição primária tipicamente, é entre 120 e 240 V.
Estão corretas apenas as afirmativas
Provas
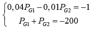
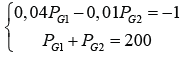
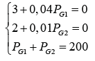
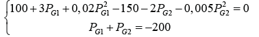
Considere o problema do despacho ótimo de potência, desconsiderando as perdas das linhas de transmissão e as restrições de geração mínima e máxima das unidades geradoras.
Considere, ainda, um sistema de potência com dois geradores e uma demanda total de 200 MW. O custo por hora, associado a cada unidade geradora, em função da potência produzida, pode ser expresso pelas seguintes equações:

Onde PG1 e PG2 são as potências em MW, geradas na primeira e na segunda unidade geradora, respectivamente.
Provas
A sequência correta é
Provas
Caderno Container