Foram encontradas 339 questões.

Provas
Observe o grafo da figura abaixo.

Assinale a alternativa que apresenta o peso total da árvore de menor distância com raiz em 1.
Provas
Analise as propriedades.
I. Subestrutura ótima: a solução para o problema contém soluções ótimas para subproblemas.
II. Os subproblemas são independentes.
III. Os subproblemas são dependentes.
IV. A ótima escolha local levará à solução globalmente adequada.
A partir de sua análise sobre o paradigma de programação aplicável, pode-se concluir que estão CORRETAS
Provas
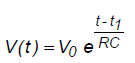
Um marca-passo, como indicado na figura abaixo, consiste em uma bateria, um capacitor e o coração como resistor.

Provas
Denotemos com Z o conjunto de números inteiros, com Q o de números racionais e com Z2 o conjunto de inteiros módulo 2.
Analise as afirmativas e assinale a INCORRETA.
Provas

Analise as alternativas sobre a função f e assinale a afirmativa CORRETA.
Provas
O processo de recuperação de um ecossistema florestal degradado envolve diversas ações. Entre elas, cita-se o plantio de espécies nucleadoras.
Tais espécies têm a seguinte função:
Provas
Analise as seguintes afirmativas sobre a importância da cultura do feijoeiro e assinale com V para as alternativas verdadeiras e com F para as falsas.
( ) a cultura é reconhecida como sendo de subsistência.
( ) é difundida em todo o Brasil como cultura consorciada ou solteira.
( ) é importante fonte proteica na dieta humana.
( ) é inapropriada para a pequena produção.
Assinale a alternativa que apresenta a sequência CORRETA.
Provas
O alho é uma importante hortaliça no cenário mundial.
Sobre o cultivo comercial dessa hortaliça no Brasil, assinale a alternativa CORRETA.
Provas
Caderno Container