Foram encontradas 60 questões.
Texto para questão.
O que é o filtro de ar do motor?

Provas
Abaixo da estrela, há a inscrição, na cor branca, da data "13 de março de 1823" (incluída em alteração de 2005). Esta é a data em que ocorreu a Batalha do Jenipapo, que foi importante no processo de Independência do Brasil. Ocorrida no território do Piauí, a batalha contou com cearenses, maranhenses e piauienses que lutaram contra tropas portuguesas contrárias à independência do Brasil.
Disponível em: https://www.suapesquisa.com/estadosbrasileiros/bandeira_ piaui.htm Acesso em: 04 jul. 2022.
A estrela da bandeira é Antares e é a estrela que representa o estado do Piauí na bandeira nacional. Segundo a Casa Civil Brasileira, as medidas de bandeiras no Brasil foram normatizadas por um tamanho padrão chamado "pano", que é igual à 0,64m de largura por 0,455m de altura. Os demais tamanhos são múltiplos ou submúltiplos deste padrão. Assim uma bandeira de 2 panos tem largura de 1,28 e altura de 0,91 metros.
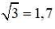
Sendo a estrela Antares um pentagrama regular inscritível em uma circunferência de raio 0,14 metros, cujo lado mede 0,11 metros. A área da estrela de uma bandeira de 2 panos está: (Considere sen 72º = 0,95 e cos 72º = 0,31).
Provas
Mosaicos quase-regulares ou arquimedianos são aqueles em que os ladrilhos são polígonos regulares. A intersecção de dois polígonos é sempre um lado ou um vértice ou vazia e o tipo de cada vértice é sempre o mesmo, isto é, a distribuição ao redor de cada vértice é sempre a mesma, sendo os polígonos regulares não necessariamente congruentes.
Disponível em:http://clubes.obmep.org.br/blog/wp-content/ uploads/2015/10/monografi a2.pdf Acesso em 04 jul. 2022.
Considere que a padronagem a seguir foi usada para ladrilhar uma calçada de dimensões 1,60 m por 1,02 m. E utilizou hexágonos regulares de lado 20 cm.

Qual a área da calçada, em centímetros quadrados, coberta apenas por triângulos? (Considere
)Provas
Texto para a questão.
Estacionamentos, os novos vilões da mobilidade urbana.

Provas
Texto para a questão.
Quem nunca chutou a bola por cima do muro, para fora do campo ou do outro lado da rua?
Aconteceu com o Banks o'Dee FC, pequeno time fundado em 1902, na cidade de Aberdeen, leste da Escócia, e que participa apenas da divisão regional do país. A equipe sub-19 jogava, quando a bola voou por cima da cerca e aterrissou no Lago Dee.
Todos já haviam desistido dela quando, tempo depois, um e-mail chegou à diretoria do clube: "Olá! Um jogador de vocês com certeza tem um dos melhores chutes de longa distância do mundo!"
Quem assinava era Johnny Mikalsen, morador da ilha de Vanna, na Noruega, a quase 1.800 km de distância do campo do o'Dee.
"Um amigo meu achou a bola com o nome do clube escrito. Ela viajou uma boa distância; estamos a 1.118 milhas ao norte de Aberdeen, em uma ilha chamada Vanna, 10 km de Tromso, capital nortenha da Noruega."

Fonte: https://www.espn.com.br/blogs/olhaisso/686291_chute-mais-longo-do-mundobola-vai-por-cima-da-cerca-e-e-encontrada-em-outro-pais Acesso em: 04 jul. 2022.
(OBS.: 1 milha vale aproximadamente 1,61 km)
Provas
TRANSPORTE R$ 55.188,00
ALIMENTAÇÃO R$ 11.340,00
HOSPEDAGEM R$ 64.152,00
Ficou decidido que o custo total seria dividido igualmente entre todos os membros; porém, ao saberem dos valores individuais, 10 membros desistiram, o que acarretou um aumento de R$ 550,00 para cada um dos que mantiveram o propósito de viajar. Quantos foram ao passeio?
Provas
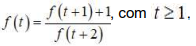
Sabendo que, na primeira parada (t = 1), o professor observou que a cadeira se encontrava a 2 m e, na segunda parada (t = 2), observa a altura de 5 metros, qual será a altura observada da cadeira quando a roda gigante fizer a 2022ª parada?
Provas
Provas
A notícia desta aleivosia do ilustre Bacamarte lançou o terror à alma da população. Ninguém queria acabar de crer que, sem motivo, sem inimizade, o alienista trancasse na Casa Verde uma senhora perfeitamente ajuizada, que não tinha outro crime senão o de interceder por um infeliz. Comentava-se o caso nas esquinas, nos barbeiros; edificou-se um romance, umas finezas namoradas que o alienista outrora dirigira à prima do Costa, a indignação do Costa e o desprezo da prima. E daí a vingança. Era claro. Mas a austeridade do alienista, a vida de estudos que ele levava, pareciam desmentir uma tal hipótese. (...)
ASSIS, Machado de. Papéis avulsos. 2. ed. São Paulo: Martin Claret, 2013. p. 29.
Sem prejuízo de sentido do texto, o termo destacado em “A notícia desta aleivosia do ilustre Bacamarte lançou o terror à alma da população”, no início do 2º parágrafo, pode ser substituído por
Provas
A imagem a seguir faz parte de uma campanha publicitária.

A vírgula empregada na oração “O futuro, é hoje que a gente protege” tem como função:
Provas
Caderno Container