Magna Concursos

Foram encontradas 50 questões.

71242 Ano: 2007
Disciplina: Química
Banca: IME
Orgão: IME

Assinale a alternativa correta.

 

Provas

Questão presente nas seguintes provas
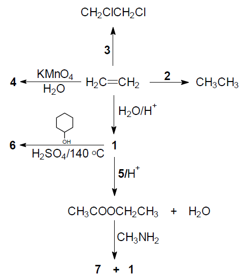
71241 Ano: 2007
Disciplina: Química
Banca: IME
Orgão: IME

Indique a alternativa que relaciona os compostos numerados de 1 a 7 no esquema abaixo.

Enunciado 3225077-1

1 2 3 4 5 6 7

 

Provas

Questão presente nas seguintes provas
71240 Ano: 2007
Disciplina: Química
Banca: IME
Orgão: IME

Para a reação genérica aA →. bB + cC, analise os cinco casos abaixo.

Enunciado 3225076-1

Considere que [A]0 = concentração molar inicial de A; VA = velocidade de reação; ki = constante de velocidade no i-ésimo caso; Ea = energia de ativação; e T = temperatura absoluta.

A partir das informações contidas nos gráficos, assinale a alternativa correta.

Caso 1 Caso 2 Caso 3 Caso 4 Caso 5

 

Provas

Questão presente nas seguintes provas
71239 Ano: 2007
Disciplina: Química
Banca: IME
Orgão: IME

Dispõe-se de uma mistura sulfonítrica de composição mássica igual a 60% de H2SO4, 11,2% de HNO3 e 28,8% de H2O. A 1000 kg desta mistura são adicionados 100 kg de solução de HNO3 88% (m/m) e 200 kg de solução de H2SO4 60% (m/m). Indique a composição mássica da mistura sulfonítrica final.

 

Provas

Questão presente nas seguintes provas
71238 Ano: 2007
Disciplina: Química
Banca: IME
Orgão: IME

O átomo radioativo (z+134) zX é formado pelo decaimento nuclear de (w+146) w Y. Sabendo que um mesmo elemento químico aparece duas vezes nas reações de decaimento, então uma possível série de emissões é:

 

Provas

Questão presente nas seguintes provas
71237 Ano: 2007
Disciplina: Química
Banca: IME
Orgão: IME

Ao dissolver-se acetato de sódio (CH3COONa) em água, é correto dizer que:

 

Provas

Questão presente nas seguintes provas
71236 Ano: 2007
Disciplina: Química
Banca: IME
Orgão: IME

A uma solução de pH=1 contendo 10−3 moles/litro de íons Fe+3 é adicionado, continuamente, hidróxido de sódio. Desta forma, pode-se afirmar que a precipitação do Fe(OH)3: (Dado: KPS do Fe(OH)3= 10−36)

 

Provas

Questão presente nas seguintes provas
71235 Ano: 2007
Disciplina: Química
Banca: IME
Orgão: IME

Assinale a alternativa correta.

 

Provas

Questão presente nas seguintes provas
71234 Ano: 2007
Disciplina: Química
Banca: IME
Orgão: IME

Segundo a teoria dos orbitais, as ligações covalentes são formadas a partir da interpenetração dos orbitais atômicos. Esta interpenetração leva à formação de orbitais moleculares.

Considerando uma molécula de N2 cujos núcleos atômicos estão localizados ao longo do eixo z, assinale a afirmação correta. (Dado: número atômico do nitrogênio = 7).

 

Provas

Questão presente nas seguintes provas
71233 Ano: 2007
Disciplina: Engenharia de Petróleo
Banca: IME
Orgão: IME

Observe as alternativas abaixo e assinale a correta.

 

Provas

Questão presente nas seguintes provas