Foram encontradas 1.410 questões.
Uma das características do Projeto Básico é a definição das quantidades e os custos de serviços com valores compatíveis com o tipo e porte da obra, de tal forma a ensejar a determinação do custo global da obra com uma precisão
Provas
O objetivo primário de um Projeto Executivo relacionado com obra de engenharia, para atender a uma necessidade da Administração Pública, é
Provas
Uma obra de engenharia requer que sejam concentrados esforços na busca de se manter sobre controle as variáveis ou restrições que afetam diretamente o empreendimento, as quais são conhecidas como “triângulo da gerência de projeto”.
Nesse contexto, as referidas variáveis que devem ser gerenciadas são:
Provas
Para a elaboração do orçamento de uma obra de engenharia é necessário o planejamento da execução das seguintes fases:
I. Calcular o BDI.
II. Efetuar Análise detalhada do projeto.
III. Listar todos os serviços previstos.
IV. Calcular os custos unitários de cada serviço.
V. Especificar unidades de medição.
Considerando APENAS os dados apresentados, a ordem sequencial correta das fases para a conclusão do orçamento, corresponde a:
Provas
O uso de sistemas referenciais de preços evita composições que estão em desacordo com as especificações técnicas ou com os critérios de medição e pagamento do serviço a ser orçado.
Um dos sistemas de referência de preços utilizados pela Administração Pública Federal é o
Provas
É correto afirmar que a Lei nº 8.666 de 1993, que institui normas para licitações e contratos da Administração Pública, alterada pelas Leis nº 8.883 de 1994 e nº 9.648 de 1998, estabelece que
Provas
Considere as seguintes afirmações sobre os serviços de manutenção predial.
I. A manutenção de edificações visa a preservar ou recuperar as condições ambientais adequadas ao uso previsto para as edificações.
II. A manutenção de edificações não inclui serviços realizados para alterar o uso da edificação.
III. Os padrões de operação do sistema de manutenção devem ser definidos tendo em consideração preceitos legais, regulamentos e normas aplicáveis pela legislação vigente.
IV. Todos os serviços de manutenção devem ser definidos em planos de curto, médio e longo prazos, de maneira a coordenar os serviços de manutenção para reduzir a necessidade de sucessivas intervenções.
Está correto o que se afirma em
Provas
O custo de instalação de um interruptor de uma tecla simples em caixa 4” × 2” com eletroduto de aço galvanizado a quente, considerando material e mão de obra (sem os encargos sociais) é de R$ 67,79, conforme a tabela a seguir:
|
Insumo |
Unidade | Índice | Custo Unitário (R$) |
Custo Total (R$) |
|
eletricista |
h | 2,2 | 5,30 | 11,66 |
|
ajudante |
h | 2,2 | 4,08 | 8,98 |
|
eletroduto de aço galvanizado a quente diâmetro 20 mm (3/4”) |
m | 3,0 | 9,51 | 28,53 |
|
fio 2,5 mm2 (isolação antichama 750 V) |
m | 6,0 | 0,86 | 5,16 |
|
condulete de alumínio 4”×2” “C” D=3/4” |
un | 1,0 | 10,53 | 10,53 |
|
interruptor 1 tecla sem espelho |
un | 1,0 | 2,93 | 2,93 |
|
Total |
67,79 | |||
É correto afirmar que
Provas
No mês seguinte à assinatura de um contrato de serviço de uma obra de construção civil, observou-se que os custos da composição aumentaram 4%. No segundo mês houve diminuição de 2% em relação ao primeiro mês e no terceiro mês houve aumento de 3% em relação ao segundo mês.
Após atualização dos custos, considerando os três meses consecutivos, observouse que, em relação aos inicialmente calculados, os custos
Provas
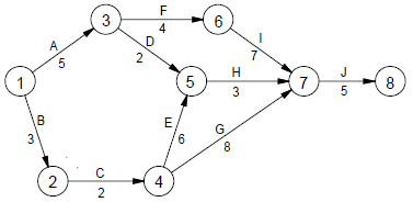
Considere a rede da figura.

A rede da figura representa uma obra de construção civil. Os círculos representam os eventos e as letras representam as atividades, cuja duração, em dias, é indicada ao seu lado inferior.
Os serviços que definem o caminho crítico são, respectivamente,
Provas
Caderno Container